Новое видео: Выкуплотов

Смотреть новое видео

ОСЕННИЙ ВЫГУЛ НАШЕГО СКОТНОГО ДВОРА!

ОСЕННИЙ ВЫГУЛ НАШЕГО СКОТНОГО ДВОРА!

Выкуп (2007)

Выкуп (2007)

На Ставрополье выросли цены на овощи

На Ставрополье выросли цены на овощи



Выкупы

Выкупы

Выкатил

Выкатил

Выигрыш 286 147 104 ₽ в «Гослото «4 из 20»: Миф или реальность? Гослото в отзывах реальных людей

Выигрыш 286 147 104 ₽ в «Гослото «4 из 20»: Миф или реальность? Гослото в отзывах реальных людей

Ставрополец оплатил больше 130 штрафов, чтобы вернуть арестованный автомобиль

Ставрополец оплатил больше 130 штрафов, чтобы вернуть арестованный автомобиль

«Ты нужен городу». Профессия озеленитель.

«Ты нужен городу». Профессия озеленитель.

Выкрутился !

Выкрутился !

Выкса

Выкса

Выходи, родная, замуж за меня. Стихи Владимира Мусатова. Музыка ИИ.

Выходи, родная, замуж за меня. Стихи Владимира Мусатова. Музыка ИИ.

Вышка сотовой связи и облака / небо

Вышка сотовой связи и облака / небо

Нашел глубокую яму посреди болота и давай их таскать.

Нашел глубокую яму посреди болота и давай их таскать.

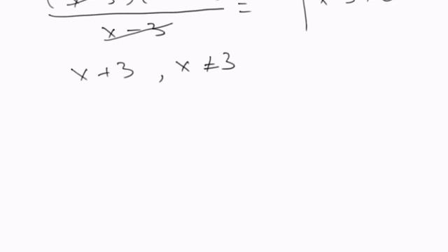
График с выколотой точкой

График с выколотой точкой

График с выколотой точкой

График с выколотой точкой

выкуп

выкуп

Выход

Выход

вывы

вывы

Ремонт рваного лонжерона на ВАЗ 2114 #bodyrepair #выкупавто #garage #кузовнойремонт #перекуп #2114

Ремонт рваного лонжерона на ВАЗ 2114 #bodyrepair #выкупавто #garage #кузовнойремонт #перекуп #2114

Выкуплена Almera. Марина, город Кингисепп.

Выкуплена Almera. Марина, город Кингисепп.

Кассовый прилавок вход - выход

Кассовый прилавок вход - выход

Ко дню работников сельского хозяйства и перерабатывающей промышленности.

Ко дню работников сельского хозяйства и перерабатывающей промышленности.

Расследование доказало что, Борис Джонсон злоупотреблял, политическими связями

Расследование доказало что, Борис Джонсон злоупотреблял, политическими связями

ВЫКУП

ВЫКУП

Выкуп

Выкуп

Главное: Торез! (корпункт ТК ОПЛОТ) #39 (Выпуск от 10.10.2025)

Главное: Торез! (корпункт ТК ОПЛОТ) #39 (Выпуск от 10.10.2025)

"Выкуп"

Построить график функции с выколотой точкой 8 класс часть 2

Построить график функции с выколотой точкой 8 класс часть 2

вывы

вывы

вымогательство

вымогательство

Легкий выкат. 02.05.2025г

Легкий выкат. 02.05.2025г

Вытул

Вытул

🔥#6. ДЕПУТАТ УГРОЖАЕТ ВЫКОЛОТЬ ГЛАЗ, ЗАХВАТЫВАЕТ ТРОТУАР ПОД ПАРКОВКУ И ДОГОВАРИВАЕТСЯ С ГАИ🔥

🔥#6. ДЕПУТАТ УГРОЖАЕТ ВЫКОЛОТЬ ГЛАЗ, ЗАХВАТЫВАЕТ ТРОТУАР ПОД ПАРКОВКУ И ДОГОВАРИВАЕТСЯ С ГАИ🔥

Выкуп_калым

Выкуп_калым

выкурил

выкурил

Построение графика. Парабола с выколотой точкой. ОГЭ 2 часть.

Построение графика. Парабола с выколотой точкой. ОГЭ 2 часть.

Накось выкуси, знай наших

Накось выкуси, знай наших

Отражение возврата товара, ранее выкупленного комиссионером в 1С:Бухгалтерии

Отражение возврата товара, ранее выкупленного комиссионером в 1С:Бухгалтерии

ВЫАВЫ

ВЫАВЫ

выкулвания

выкулвания

Построение прямой с выколотой точкой

Построение прямой с выколотой точкой

Выкуплен БАНАН. Закрыт досрочно за 8 месяцев

Выкуплен БАНАН. Закрыт досрочно за 8 месяцев

От такого выигрыша просто Шок, Гослото.

От такого выигрыша просто Шок, Гослото.

что я выкакал

что я выкакал

1 выкуп

1 выкуп

Выхватил

Выхватил

выавыа

выавыа

выкуп2

выкуп2

Выкуплен автомобиль досрочно белый Renault Sandero.  Виталя город Череповец

Выкуплен автомобиль досрочно белый Renault Sandero. Виталя город Череповец

Проглот вылез на свободу

Проглот вылез на свободу

Разработчик видеоигр Electronic Arts будет выкуплен за $55 миллиардов

Разработчик видеоигр Electronic Arts будет выкуплен за $55 миллиардов

ВЫКУПЛЕН Volvo XC90 2nd Gen T8 Ultimate Bright Hybrid

ВЫКУПЛЕН Volvo XC90 2nd Gen T8 Ultimate Bright Hybrid

выава

выава

вылолваыаы

вылолваыаы

Korolevskiy выкуп

Korolevskiy выкуп

Выигрыш Гослото Деньги 600 миллионов рублей

Выигрыш Гослото Деньги 600 миллионов рублей

Эксплуатация  приводит к вымиранию людей

Эксплуатация приводит к вымиранию людей

«Переплавка смыслов: как преображается сердце Выксы».

«Переплавка смыслов: как преображается сердце Выксы».

"Эмоциональное выгорание зооволонтёров"

вывы

вывы

Исламская рассрочка / ВСЕ ПЛЮСЫ #исламскаяинформация #выкупавто

Исламская рассрочка / ВСЕ ПЛЮСЫ #исламскаяинформация #выкупавто

Выговор

Выговор

Выговор

Выговор

выговор

выговор

выговор

выговор

выговор

выговор

Выкупим дорого. Выкуп автомобилей отзыв

Выкупим дорого. Выкуп автомобилей отзыв

вывыв

вывыв

Безопасность поставщиков

Безопасность поставщиков

Выглазов

Выглазов

задание 22 ОГЭ математика.График - гипербола с выколотой точкой.

задание 22 ОГЭ математика.График - гипербола с выколотой точкой.

Сход граждан в Зугрэсе

Сход граждан в Зугрэсе

вывы

вывы

Вне формата. Д. Пушилин о восстановлении дорог

Вне формата. Д. Пушилин о восстановлении дорог

вывы

вывы

вывы

вывы

вывы

вывы

Вытащил

Вытащил

Кресты выколотые на теле

Кресты выколотые на теле

Перевал Дятлова. Глаза выколоты 


#перевалдятлова

Перевал Дятлова. Глаза выколоты #перевалдятлова

вывв

вывв

Вымогательство

Вымогательство

Вымогательство

Вымогательство

Выкрест

Выкрест

ВЫМОГАТЕЛЬ

ВЫМОГАТЕЛЬ

$vyatik - Jumpstyle $vyat 1

$vyatik - Jumpstyle $vyat 1

Миронов предложил отдавать выкупленные государством квартиры в соцаренду

Миронов предложил отдавать выкупленные государством квартиры в соцаренду

Совсем заелись,торты выкидывают!

Совсем заелись,торты выкидывают!

выговор

выговор

выговор

выговор

Выговор💝

Выговор💝

Выговор

Выговор

ВЫТАЩИЛ

ВЫТАЩИЛ

выговор

выговор

выговор

выговор

выговор

выговор

Выговор

Выговор

выговор

выговор

1 2 3 4 5

Сегодня ищут: