Новое видео: Первостепенноеместоположение

Смотреть новое видео

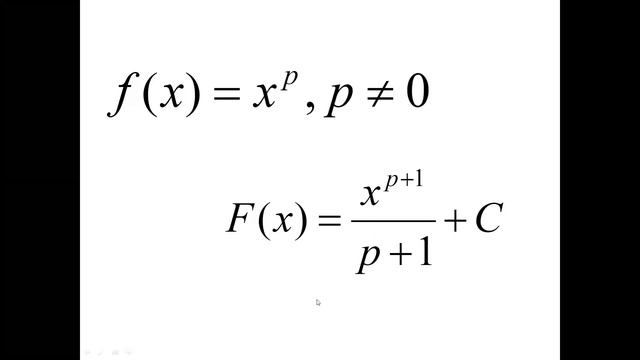
Первообразная. Правила нахождения первообразных. Урок №1

Первообразная. Правила нахождения первообразных. Урок №1

Первообразная. 11 класс.

Первообразная. 11 класс.

Посвящение в первоклассники

Посвящение в первоклассники



62.5 РАННИЕ ВИДЫ ПЕРВОБЫТНОГО ЧЕЛОВЕКА. ПЕРВЫЕ ЛЮДИ

62.5 РАННИЕ ВИДЫ ПЕРВОБЫТНОГО ЧЕЛОВЕКА. ПЕРВЫЕ ЛЮДИ

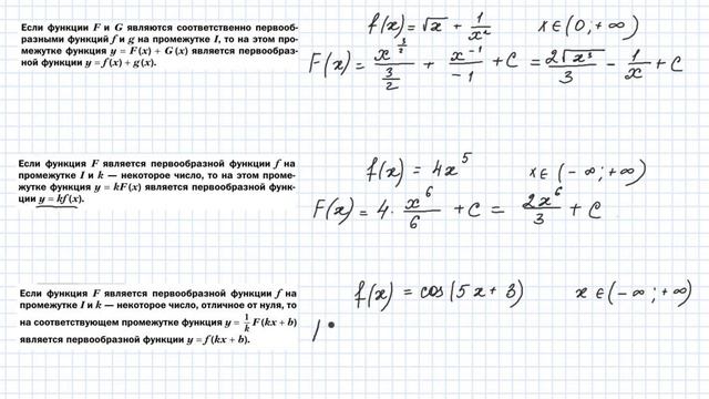
Правила нахождения первообразных. Таблица первообразных. Урок 3.

Правила нахождения первообразных. Таблица первообразных. Урок 3.

Первобытный (Primal) — трейлер третьего сезона (Adult Swim)

Первобытный (Primal) — трейлер третьего сезона (Adult Swim)

Первобытность. История и предыстория, появление человека.

Первобытность. История и предыстория, появление человека.

Второй выпуск шоу «Абитура — инструкция к поступлению»

Второй выпуск шоу «Абитура — инструкция к поступлению»

ПЕРВАЯ МЕДИЦИНСКАЯ

ПЕРВАЯ МЕДИЦИНСКАЯ

Первобытное искусство. «Первые художники»

Первобытное искусство. «Первые художники»

Благоприятная среда для инноваций и подготовки кадров создана на Среднем Урале

Благоприятная среда для инноваций и подготовки кадров создана на Среднем Урале

ЭНЕРГЕТИЧЕСКАЯ ГРАМОТНОСТЬ

ЭНЕРГЕТИЧЕСКАЯ ГРАМОТНОСТЬ

Что такое первообразная

Что такое первообразная

Туристическая - II тур (Фестиваль Обермунжский треугольник 2015)

Туристическая - II тур (Фестиваль Обермунжский треугольник 2015)

Первобытное искусство

Первобытное искусство

Первообразная

Первообразная

нрп поведение 20:59

нрп поведение 20:59

04. Что такое первообразная?

04. Что такое первообразная?

Мастер-класс по люминографии

Мастер-класс по люминографии

Первобытное искусство в России

Первобытное искусство в России

Первопроходцы

Первопроходцы

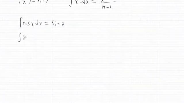
Нахождение первообразных. Практика. Урок 4.

Нахождение первообразных. Практика. Урок 4.

Проект «Первые». Военная промышленность

Проект «Первые». Военная промышленность

Адаптация первоклассников

Адаптация первоклассников

Искусство первобытной эпохи послание потомкам

Искусство первобытной эпохи послание потомкам

Экосистема Первостроитель

Экосистема Первостроитель

Оказание первой помощи

Оказание первой помощи

Посвящение первоклассников.

Посвящение первоклассников.

Первоначальные действия

Первоначальные действия

LP.модовое начало #1 Первостепенные задачи

LP.модовое начало #1 Первостепенные задачи

ПЕРВОБЫТНО-ОБЩИННЫЙ СТРОЙ. ЧАСТЬ #2. Развитие и разложение первобытнообщинного способа производства

ПЕРВОБЫТНО-ОБЩИННЫЙ СТРОЙ. ЧАСТЬ #2. Развитие и разложение первобытнообщинного способа производства

Первобытное Искусство | Primitive Art

Первобытное Искусство | Primitive Art

Основное свойство первообразной

Основное свойство первообразной

Посвящение в первоклассники

Посвящение в первоклассники

0310 1 урок  вписанные окружности

0310 1 урок вписанные окружности

Учебный год для сотен первоуральских первоклассников начался с фестиваля профессий

Учебный год для сотен первоуральских первоклассников начался с фестиваля профессий

Перво

Перво

Технологии манипуляции общественным сознанием

Технологии манипуляции общественным сознанием

Первообразная  Правила нахождения первообразных

Первообразная Правила нахождения первообразных

Первообразная. Практическая часть. 11 класс.

Первообразная. Практическая часть. 11 класс.

Обложка на паспорт в оттенке сочный апельсин

Обложка на паспорт в оттенке сочный апельсин

Пермь Forever. Выпуск 8. Первобытное искусство

Пермь Forever. Выпуск 8. Первобытное искусство

Первостепенный автор

Первостепенный автор

Первообразная. Практическая часть. 11 класс.

Первообразная. Практическая часть. 11 класс.

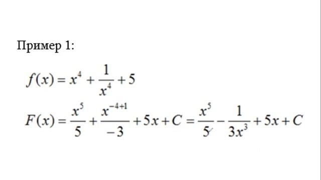
Первые примеры по теме первообразная

Первые примеры по теме первообразная

Нахождение первообразных. Практика. Урок 4.

Нахождение первообразных. Практика. Урок 4.

Адаптация первоклассников: этапы и трудности

Адаптация первоклассников: этапы и трудности

11 класс / 19 урок. Правила нахождения первообразных.

11 класс / 19 урок. Правила нахождения первообразных.

Видеолекция. Воспитание в первобытном обществе

Видеолекция. Воспитание в первобытном обществе

Первобытное искусство

Первобытное искусство

Адаптация первоклассников: этапы и трудности

Адаптация первоклассников: этапы и трудности

Посвящение в первоклассники 2025

Посвящение в первоклассники 2025

Дыхательная гимнастика, марафон знаний, медицинские обследования, здоровое питание

Дыхательная гимнастика, марафон знаний, медицинские обследования, здоровое питание

Первореченское

Первореченское

4 Что такое первообразная

4 Что такое первообразная

урок по теме Первообразная

урок по теме Первообразная

правила нахождения первообразных

правила нахождения первообразных

ШКОЛЬНИКАМ И СТУДЕНТАМ РАССКАЖУТ О ПОДВИГАХ ПЕРВОПРОХОДЦЕВ ЯМАЛА

ШКОЛЬНИКАМ И СТУДЕНТАМ РАССКАЖУТ О ПОДВИГАХ ПЕРВОПРОХОДЦЕВ ЯМАЛА

Правила нахождения первообразных. Таблица первообразных. Урок 3.

Правила нахождения первообразных. Таблица первообразных. Урок 3.

про первообразную

про первообразную

Первоначальное состояние

Первоначальное состояние

Путями первопроходцев.flv

Путями первопроходцев.flv

О книге

О книге "Первобытное мышление: Коллективные представления в сознании первобытных людей и их ..."

Экологическая инициатива на вырост

Экологическая инициатива на вырост

ЧТО ТАКОЕ ПЕРВОРОДСТВО

ЧТО ТАКОЕ ПЕРВОРОДСТВО

Зарождение первобытного искусства

Зарождение первобытного искусства

Приобщение дошкольников к культурно-историческому наследию родного края через музейную педагогику.

Приобщение дошкольников к культурно-историческому наследию родного края через музейную педагогику.

Первобытное ''искусство''

Первобытное ''искусство''

Первобытное искусство. Часть 4. Мелкая пластика и первая архитектура.

Первобытное искусство. Часть 4. Мелкая пластика и первая архитектура.

Первоклассная запись

Первоклассная запись

Вычисление первообразных

Вычисление первообразных

Напутствие первоклассникам

Напутствие первоклассникам

Для первоуральских предпринимателей организовали семинар о возможностях использования искусственного

Для первоуральских предпринимателей организовали семинар о возможностях использования искусственного

Ответы на вопросы КАК?

Ответы на вопросы КАК?

Ученые записали предсмертные переживания людей

Ученые записали предсмертные переживания людей

Первостепенная задача

Первостепенная задача

§55 Правила нахождения первообразных

§55 Правила нахождения первообразных

0 Первобытное искусство (лекция)

0 Первобытное искусство (лекция)

Токтоналиева Д. Э. Тема:

Токтоналиева Д. Э. Тема: "Первообразная. Правила нахождения первообразных".

Истории первоклассника. Адаптация

Истории первоклассника. Адаптация

№1. Первобытное искусство  Искусство Палеолита

№1. Первобытное искусство Искусство Палеолита

Первокласснице

Первокласснице

Посвящение в первоклассники.

Посвящение в первоклассники.

"Первоапрельское учение О.... Возлежащих"

Трансформационные игры на Перволетье

Трансформационные игры на Перволетье

О ШКОЛЕ СОВЕРШЕНСТВА ПЕРВОИСТОК

О ШКОЛЕ СОВЕРШЕНСТВА ПЕРВОИСТОК

ПРОСТРАНСТВА ОБЪЕДИНЕННОГО ОПЫТА

ПРОСТРАНСТВА ОБЪЕДИНЕННОГО ОПЫТА

13 Декабря Андрея Первозванного.

13 Декабря Андрея Первозванного.

Посвящение в первоклассники

Посвящение в первоклассники

В КРАЕВЕДЧЕСКОМ МУЗЕЕ ПРОШЛО МЕРОПРИЯТИЕ, ПОСВЯЩЕННОЕ ПРОЦЕССУ СОЗДАНИЯ ДЕКОРАТИВНЫХ ПАННО

В КРАЕВЕДЧЕСКОМ МУЗЕЕ ПРОШЛО МЕРОПРИЯТИЕ, ПОСВЯЩЕННОЕ ПРОЦЕССУ СОЗДАНИЯ ДЕКОРАТИВНЫХ ПАННО

Адаптационный период первоклассников

Адаптационный период первоклассников

Посвящение в первоклассники

Посвящение в первоклассники

Посвящение в первоклассники!

Посвящение в первоклассники!

посвящение в первоклассники

посвящение в первоклассники

Посвящение в первоклассники

Посвящение в первоклассники

Презентация к педсовету

Презентация к педсовету "Адаптация первоклассников"

Рекомендации школьного психолога для родителей первоклассников. Адаптация.

Рекомендации школьного психолога для родителей первоклассников. Адаптация.

Искусство первобытного общества: Палеолит

Искусство первобытного общества: Палеолит

Ученые записали предсмертные переживания людей

Ученые записали предсмертные переживания людей

Посвящение в первоклассники

Посвящение в первоклассники

1 2 3 4 5

Сегодня ищут: