Новое видео: Постоянная валентность

Смотреть новое видео

Валентность. Ч.1. Теория с примерами. Постоянная и переменная валентность.

Валентность. Ч.1. Теория с примерами. Постоянная и переменная валентность.

ВАЛЕНТНОСТЬ | Как определять валентность элементов | Как составить химическую формулу по валентности

ВАЛЕНТНОСТЬ | Как определять валентность элементов | Как составить химическую формулу по валентности

Валентность. Учимся определять валентность элементов по формулам

Валентность. Учимся определять валентность элементов по формулам



Валентность. Ч.2. Определяем валентность по формулам и строим формулы по валентности.

Валентность. Ч.2. Определяем валентность по формулам и строим формулы по валентности.

СОСКИН.Интенсивность ударов растёт. Путин, остановки не будет.Региональные блекауты стали ПОСТОЯННЫМ

СОСКИН.Интенсивность ударов растёт. Путин, остановки не будет.Региональные блекауты стали ПОСТОЯННЫМ

Химия 8 класс (Урок№6 - Валентность химических элементов. Определение валентности элементов.)

Химия 8 класс (Урок№6 - Валентность химических элементов. Определение валентности элементов.)

Валентность. Видеоурок 7. Часть 2. Химия 8 класс

Валентность. Видеоурок 7. Часть 2. Химия 8 класс

Валентность элементов |Правило валентности| элементы с постоянной и переменной валентность

Валентность элементов |Правило валентности| элементы с постоянной и переменной валентность

14 Урок Правило октета,валентность,постоянная и переменная валентность ,как определять валентность

14 Урок Правило октета,валентность,постоянная и переменная валентность ,как определять валентность

Валентность

Валентность

Валентина Гаврилова от 15.10.2025

Валентина Гаврилова от 15.10.2025

ВАЛЕНТНОСТЬ

ВАЛЕНТНОСТЬ

Внешний слой | Валентность |  Постоянная и переменная.

Внешний слой | Валентность | Постоянная и переменная.

14 Урок_Правило октета_Валентность_Постоянная валентность

14 Урок_Правило октета_Валентность_Постоянная валентность

Как узнать валентность любых элементов

Как узнать валентность любых элементов

Мастерица валенок

Мастерица валенок

Валентность

Валентность

Сен Жермен - Послание Светового Кода

Сен Жермен - Послание Светового Кода

§ 16. Валентность химических элементов.Определение валентности элементов по формулам их соединений.

§ 16. Валентность химических элементов.Определение валентности элементов по формулам их соединений.

SUNO - Небо пополам, звёзды пополам....  ЕВГЕНИЙ МУРАВЬЁВ.

SUNO - Небо пополам, звёзды пополам.... ЕВГЕНИЙ МУРАВЬЁВ.

Вы действительно это сделали! ~ Плеядеанский Совет Света ~

Вы действительно это сделали! ~ Плеядеанский Совет Света ~

Запоздалое поздравление ,мои новые покупки 🎁.

Запоздалое поздравление ,мои новые покупки 🎁.

Задания на валентность (8 класс)

Задания на валентность (8 класс)

Мастер Сен-Жермен: Вы говорите, что хотите перемен? – перестаньте жаловаться!

Мастер Сен-Жермен: Вы говорите, что хотите перемен? – перестаньте жаловаться!

Комедия про Кучу, В.Теребонько, а также Селянку в подследниках с личным водителем из села Старицкое

Комедия про Кучу, В.Теребонько, а также Селянку в подследниках с личным водителем из села Старицкое

Как быстро определить валентность

Как быстро определить валентность

Степень окисления, заряд и валентность

Степень окисления, заряд и валентность

8 класс Валентность химических элементов Валентность Определение валентности

8 класс Валентность химических элементов Валентность Определение валентности

Мой кровавый Валентин 3D (фильм, 2009)

Мой кровавый Валентин 3D (фильм, 2009)

Приколы с котами 😆. Посмеяться хочешь?

Приколы с котами 😆. Посмеяться хочешь?

Структурные формулы как способ изучить темы «Валентность», «Степень окисления» и «Связи»

Структурные формулы как способ изучить темы «Валентность», «Степень окисления» и «Связи»

Валентность

Валентность

Мощная Энергия на Улучшение Ситуации

Мощная Энергия на Улучшение Ситуации

2. Валентность. урок 2. переменная валентность.

2. Валентность. урок 2. переменная валентность.

Полтора шпиона | Central Intelligence (2016)

Полтора шпиона | Central Intelligence (2016)

Тема 1.14 Валентность

Тема 1.14 Валентность

Переключение светлой, темной темы Анастасия

Переключение светлой, темной темы Анастасия

АВТОЗАПУСК С БРЕЛКА. Сигнализация StarLine А93

АВТОЗАПУСК С БРЕЛКА. Сигнализация StarLine А93

Определение валентности

Определение валентности

21. Валентность элемента

21. Валентность элемента

Валентность. Определение валентности

Валентность. Определение валентности

Валентность. Часть 1.

Валентность. Часть 1.

У каких элементов максимальная валентность в соединениях меньше числа валентных электронов?

У каких элементов максимальная валентность в соединениях меньше числа валентных электронов?

валентность. упражнения на валентность. определение валентности. определение индексов по валентност

валентность. упражнения на валентность. определение валентности. определение индексов по валентност

Искали таксу, нашли котёнка в удавке

Искали таксу, нашли котёнка в удавке

Валентность. Правила определения валентности

Валентность. Правила определения валентности

Как и чем почистить белые валенки? Чистка валенок. Делаем валенкам свежий вид. МК.

Как и чем почистить белые валенки? Чистка валенок. Делаем валенкам свежий вид. МК.

Валентность

Валентность

Valentina Bukeeva в прямом эфире

Valentina Bukeeva в прямом эфире

ГОТОВЬТЕСЬ! НА РОССИЮ ИДЁТ МОЩНАЯ АТАКА ЧАСТОТАМИ – ИДЁТ ЭНЕРГЕТИЧЕСКАЯ ВОЙНА! ВИТАЛИЙ ВОСКОБОЙНИКОВ

ГОТОВЬТЕСЬ! НА РОССИЮ ИДЁТ МОЩНАЯ АТАКА ЧАСТОТАМИ – ИДЁТ ЭНЕРГЕТИЧЕСКАЯ ВОЙНА! ВИТАЛИЙ ВОСКОБОЙНИКОВ

Попробуй повтори от Френз

Попробуй повтори от Френз

Ангел Мой Невидимый Хранитель матушка Валентина Корниенко

Ангел Мой Невидимый Хранитель матушка Валентина Корниенко

Валентности железа.

Валентности железа.

Идем постепенно

Идем постепенно

Уровень 1 - 10 фокусы, которые ты повторишь!!!

Уровень 1 - 10 фокусы, которые ты повторишь!!!

Степень окисления | Определение степени окисления | Элементы с постоянной валентностью

Степень окисления | Определение степени окисления | Элементы с постоянной валентностью

Васту коррекция. Коррекция востока

Васту коррекция. Коррекция востока

Валенсия.Испания. Валенсия на каждом шагу.

Валенсия.Испания. Валенсия на каждом шагу.

Химия. Валентность.Индексы в формулах по валентности.Опыт

Химия. Валентность.Индексы в формулах по валентности.Опыт "Вулканчик"

Электроотрицательность и выбор валентности. Простейшие уравнения

Электроотрицательность и выбор валентности. Простейшие уравнения

Постоянная комиссия по экологии 14.10.2025 г.

Постоянная комиссия по экологии 14.10.2025 г.

Как выстраивать отношения с взрослым ребенком?

Как выстраивать отношения с взрослым ребенком?

Общие настройки ПО Валента

Общие настройки ПО Валента

День Святого Валентина | Valentine's Day (2010)

День Святого Валентина | Valentine's Day (2010)

Экосистема для энергетиков

Экосистема для энергетиков

ПАТОЛОГИЧЕСКАЯ ЗАВИСТЬ: выход из тюрьмы ненависти, раздражения и постоянных сравнений

ПАТОЛОГИЧЕСКАЯ ЗАВИСТЬ: выход из тюрьмы ненависти, раздражения и постоянных сравнений

Как пройти трансформацию с удовольствием, получить опыт и заряд энергии

Как пройти трансформацию с удовольствием, получить опыт и заряд энергии

Составление формул по валентности

Составление формул по валентности

У Казанской Божьей Матери - матушка Валентина Корниенко

У Казанской Божьей Матери - матушка Валентина Корниенко

Исход:  власти Киева готовят эвакуацию из замерзающего города – блэкаут станет постоянным

Исход: власти Киева готовят эвакуацию из замерзающего города – блэкаут станет постоянным

Музыка Планеты № 47 - Валентина Толкунова

Музыка Планеты № 47 - Валентина Толкунова

ПОСТОЯННЫЕ ПЕРЕПАДЫ | Абсолютный Ченнелинг

ПОСТОЯННЫЕ ПЕРЕПАДЫ | Абсолютный Ченнелинг

Валентность  Составление формул по валентности

Валентность Составление формул по валентности

Стиральная машина переливает воду | постоянно набирает

Стиральная машина переливает воду | постоянно набирает

Составление формул по валентности

Составление формул по валентности

Как творчество управляет вашей энергией. Искусство и энергия

Как творчество управляет вашей энергией. Искусство и энергия

Валентность, валентные возможности элемента и степени окисления

Валентность, валентные возможности элемента и степени окисления

Валентность. Как составлять формулы по валентности

Валентность. Как составлять формулы по валентности

⚡Из первых уст» с основателями компании New Wave Марией Постол и Григорием Кабицким!

⚡Из первых уст» с основателями компании New Wave Марией Постол и Григорием Кабицким!

Как Язык Тела Помогает В Жизни Валентин Шишкин

Как Язык Тела Помогает В Жизни Валентин Шишкин

Материализация мысли возможна? Валентин Ковалев

Материализация мысли возможна? Валентин Ковалев

Занятие 2.  Электроотрицательность, степень окисления, валентность

Занятие 2. Электроотрицательность, степень окисления, валентность

Соблазнительница ты. SUNO AI (нейросеть) . Сергей Ерошенко.

Соблазнительница ты. SUNO AI (нейросеть) . Сергей Ерошенко.

Ст. Атамань.

Ст. Атамань.

Определение валентности и степеней окисления элементов в соединениях (бесплатный вебинар)

Определение валентности и степеней окисления элементов в соединениях (бесплатный вебинар)

БТГ. Источник НЕОГРАНИЧЕННОЙ энергии ЭФИРА

БТГ. Источник НЕОГРАНИЧЕННОЙ энергии ЭФИРА

Изотолк: постоянный зритель Александр С. | Можно ли не пить будучи алкоголиком? // ИзолентеLive

Изотолк: постоянный зритель Александр С. | Можно ли не пить будучи алкоголиком? // ИзолентеLive

Игра для детей

Игра для детей "Повтори жесты". Онлайн разминка на уроке. Развитие концентрации внимания.

Валента

Валента

Я Построил САМЫЙ ОГРОМНЫЙ сундук в Майнкрафт!

Я Построил САМЫЙ ОГРОМНЫЙ сундук в Майнкрафт!

Запись Второго дня 4-х дневного онлайн-тренинга по продажам «Фотон успеха»

Запись Второго дня 4-х дневного онлайн-тренинга по продажам «Фотон успеха»

Постояная комиссия по муниципальному имуществу 16.10.2025

Постояная комиссия по муниципальному имуществу 16.10.2025

ТАКИЕ ДЕЙСТВИЯ БОЯЛСЯ ПОВТОРИТЬ ДАЖЕ ЖАН КЛОД ВАНДАМ

ТАКИЕ ДЕЙСТВИЯ БОЯЛСЯ ПОВТОРИТЬ ДАЖЕ ЖАН КЛОД ВАНДАМ

Газель Замена помпы ЗМЗ 405-406 пошагово, поменяет даже Новичок

Газель Замена помпы ЗМЗ 405-406 пошагово, поменяет даже Новичок

Почему техники исполнения желаний не всегда работают

Почему техники исполнения желаний не всегда работают

Непостоянная постоянная. Гравитационная постоянная доказывает существование Эфира

Непостоянная постоянная. Гравитационная постоянная доказывает существование Эфира

Ты осенняя птица и октябрь стучится.  ИИ.Наталья Светличная.

Ты осенняя птица и октябрь стучится. ИИ.Наталья Светличная.

Уход за постоянным мочевым катетером (Фолея) у мужчин.

Уход за постоянным мочевым катетером (Фолея) у мужчин.

Валентность и структурные формулы

Валентность и структурные формулы

Установка доп помпы на газель (стоит ли?)

Установка доп помпы на газель (стоит ли?)

1 2 3 4 5

Сегодня ищут:

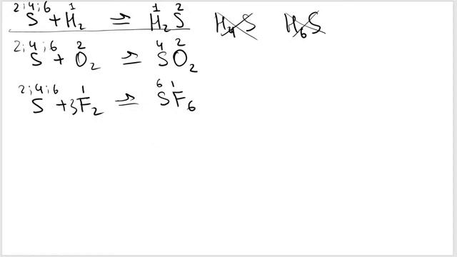
Постоянная валентность таблица

Постоянная валентность элементов

Постоянная валентность водорода

Постоянная валентность кислорода

Постоянная валентность химических элементов