Новое видео: Процентыповкладам

Смотреть новое видео

Как Рассчитывать Проценты — 5 Простых Методов

Как Рассчитывать Проценты — 5 Простых Методов

15-10.Покупки и Озон.Вспахали огород.Малыши растут.

15-10.Покупки и Озон.Вспахали огород.Малыши растут.

Как измерить кислотность почвы с помощью лакмусовой бумаги

Как измерить кислотность почвы с помощью лакмусовой бумаги



Анализ почвы после обработки барматухой.

Анализ почвы после обработки барматухой.

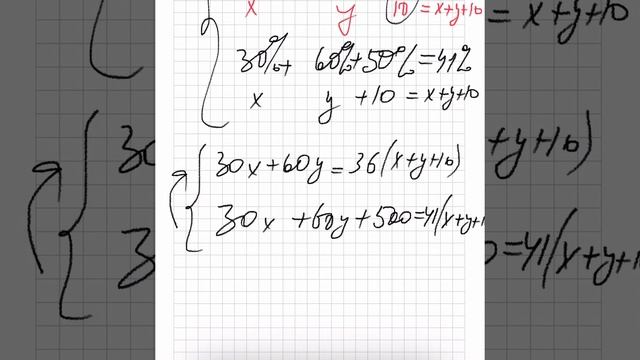
Смешав 30-процентный и 60-процентный растворы кислоты и добавив 10 кг чистой воды, получили 36-проц

Смешав 30-процентный и 60-процентный растворы кислоты и добавив 10 кг чистой воды, получили 36-проц

Пять документов, которые нужно хранить собственнику квартиры

Пять документов, которые нужно хранить собственнику квартиры

Что такое процент на остаток и как он начисляется

Что такое процент на остаток и как он начисляется

Скелетирование листьев с домашнхи условиях - обучающее видео

Скелетирование листьев с домашнхи условиях - обучающее видео

Делаю себе процедуры

Делаю себе процедуры

14.10.2025 Острые отравления наркотическими средствами и психоактивными веществами.

14.10.2025 Острые отравления наркотическими средствами и психоактивными веществами.

Простые и сложные проценты

Простые и сложные проценты

Проценты_1

Проценты_1

обучение по работе с клиентами. отзывы по мероприятию

обучение по работе с клиентами. отзывы по мероприятию

Смешав 11-процентный и 72-процентный растворы кислоты и добавив 10 кг чистой воды, получили 31

Смешав 11-процентный и 72-процентный растворы кислоты и добавив 10 кг чистой воды, получили 31

Проценты. 1-часть. Mатематика 6 класс. Урок 7

Проценты. 1-часть. Mатематика 6 класс. Урок 7

Подъем трала, скумбрия.

Подъем трала, скумбрия.

Процентиль

Процентиль

Клеродендрум  - секреты ухода и выращивания в домашних условиях. Почему не цветет и желтеют листья.

Клеродендрум - секреты ухода и выращивания в домашних условиях. Почему не цветет и желтеют листья.

Проценты. Нахождение процентов от числа. 5 класс

Проценты. Нахождение процентов от числа. 5 класс

Вероятность. Проценты

Вероятность. Проценты

Как найти свою Ценность без зависимости от внешних обстоятельств

Как найти свою Ценность без зависимости от внешних обстоятельств

Отчуждение как социальнопсихологический феномен

Отчуждение как социальнопсихологический феномен

Купюроприемник Cashcode SM. Снятие процессорной платы

Купюроприемник Cashcode SM. Снятие процессорной платы

Кустовой клематис Интегрифолия, очень интересный вид

Кустовой клематис Интегрифолия, очень интересный вид

Лекция 11. Применение теории кислот и оснований Бренстеда-Лоури к биополимерам и биорегуляторам.

Лекция 11. Применение теории кислот и оснований Бренстеда-Лоури к биополимерам и биорегуляторам.

Доклад  А.В. Чусова «Об антропологических аспектах информационного мира»

Доклад А.В. Чусова «Об антропологических аспектах информационного мира»

#Урок 18. Определение процента. Правила выполнения процентных расчётов

#Урок 18. Определение процента. Правила выполнения процентных расчётов

Землю накрывает купол, существование которого скрывают от населения

Землю накрывает купол, существование которого скрывают от населения

Проценты  5 класс. Нахождение процентов от целого.

Проценты 5 класс. Нахождение процентов от целого.

Очесывающая жатка

Очесывающая жатка "ОЗОН" от ПАО "ПЕНЗМАШ" на уборке семян масленичного льна | Тамала, 2025

Клён осыпал листья 🍁 во дворе

Клён осыпал листья 🍁 во дворе

Биопсия опухоли лоханки почки

Биопсия опухоли лоханки почки

Что такое созависимость

Что такое созависимость

Процесс обработки квартиры от клопов постельных

Процесс обработки квартиры от клопов постельных

Что такое сложный процент? Расчет сложного процента

Что такое сложный процент? Расчет сложного процента

Как формирует свое сознание обыватель. Теория

Как формирует свое сознание обыватель. Теория

КАК РЕШАТЬ ПРОЦЕНТЫ

КАК РЕШАТЬ ПРОЦЕНТЫ

Названы причины аномального отупления человечества

Названы причины аномального отупления человечества

процедуры

процедуры

Простые и сложные проценты / Проценты и процентные пункты

Простые и сложные проценты / Проценты и процентные пункты

Проценты. Задачи на проценты. Математика 5, 6,7, 8,9, 10, 11 класс. Подготовка к ЕГЭ, ОГЭ, экзамену

Проценты. Задачи на проценты. Математика 5, 6,7, 8,9, 10, 11 класс. Подготовка к ЕГЭ, ОГЭ, экзамену

Средние по вопросам. Процентиль.

Средние по вопросам. Процентиль.

Определение процентного соотношения по диаграмме

Определение процентного соотношения по диаграмме

Как участие в профессиональных сообществах положительно влияет на имидж юриста

Как участие в профессиональных сообществах положительно влияет на имидж юриста

Простые и сложные проценты

Простые и сложные проценты

Урок 11 - Понятие процента. Задачи на проценты

Урок 11 - Понятие процента. Задачи на проценты

Как находить проценты

Как находить проценты

Причина, по которой многие люди тупые

Причина, по которой многие люди тупые

Почему перестали исполняться желания.

Почему перестали исполняться желания.

5 класс Проценты  Нахождение процентов от числа

5 класс Проценты Нахождение процентов от числа

Многослойная реальность. Многослойное восприятие. Многослойный субъект

Многослойная реальность. Многослойное восприятие. Многослойный субъект

Почему когда уходишь нельзя оборачиваться

Почему когда уходишь нельзя оборачиваться

Жатвы  много  12.10.2025

Жатвы много 12.10.2025

Введение в дисциплину «Дискретная математика»

Введение в дисциплину «Дискретная математика»

Проценты. 2-часть. Mатематика 6 класс. Урок 8

Проценты. 2-часть. Mатематика 6 класс. Урок 8

Процес и результат

Процес и результат

Самостоятельная работа 6 класс, задачи на проценты, часть 3. #еленагридина #математика #проценты

Самостоятельная работа 6 класс, задачи на проценты, часть 3. #еленагридина #математика #проценты

Сложный процент

Сложный процент

Проценты (6 - ... классы)

Проценты (6 - ... классы)

Проценты, разбираемся с нуля.

Проценты, разбираемся с нуля.

Наш сад. Формирование крыжовника на штамбе.

Наш сад. Формирование крыжовника на штамбе.

Как накопить 1 000 000 рублей? Про сложный процент

Как накопить 1 000 000 рублей? Про сложный процент

Процент на процент на процент! Капитализация и сложный процент. Периоды капитализации

Процент на процент на процент! Капитализация и сложный процент. Периоды капитализации

Что такое диаграмма Ганта и как она помогает в управлении проектами

Что такое диаграмма Ганта и как она помогает в управлении проектами

13.10.2025 Двенадцатая пара по теоретико-числовым методам в криптографии

13.10.2025 Двенадцатая пара по теоретико-числовым методам в криптографии

Названы причины аномального отупления человечества

Названы причины аномального отупления человечества

Почему желания не исполняются, и как это исправить

Почему желания не исполняются, и как это исправить

Воск Сургуч Оформление бутылки Брендирование Печать ?

Воск Сургуч Оформление бутылки Брендирование Печать ?

Проценты. Задачи на проценты.

Проценты. Задачи на проценты.

84 Проценты и пропорции, понятие процента

84 Проценты и пропорции, понятие процента

Среднеазиатская чаша из раскопа по ул. Измайлова, 45

Среднеазиатская чаша из раскопа по ул. Измайлова, 45

Ведические упанишады основы индийской философии

Ведические упанишады основы индийской философии

Как повысить эффективность удобрений на кислых почвах. Реальный опыт дифференцированного раскисления

Как повысить эффективность удобрений на кислых почвах. Реальный опыт дифференцированного раскисления

Генетические цепочки с неорганическими веществами

Генетические цепочки с неорганическими веществами

146 процентов

146 процентов

Выпуск замечательного листа сотового поликарбоната м

Выпуск замечательного листа сотового поликарбоната м

Подкормка карбамидом (мочевиной). Карбамид по листу бе

Подкормка карбамидом (мочевиной). Карбамид по листу бе

Почему перестали исполняться желания.

Почему перестали исполняться желания.

Как решать задания на окружность ОГЭ 2021? / Разбор всех видов окружностей на ОГЭ по математике

Как решать задания на окружность ОГЭ 2021? / Разбор всех видов окружностей на ОГЭ по математике

Клематисы весной . Делим  кусты , обрабатываем , ухаживает . Clematis .

Клематисы весной . Делим кусты , обрабатываем , ухаживает . Clematis .

Почему кто-то решается на процедуру банкротства, а кто-то терпит до последнего?

Почему кто-то решается на процедуру банкротства, а кто-то терпит до последнего?

КАКИМ ЖИДКИМ УДОБРЕНИЕМ МОЖНО ПОДКОРМИТЬ МОЛОДУЮ РАССАДУ ТОМАТОВ. БИОГУМУС. Ольга Чернова.

КАКИМ ЖИДКИМ УДОБРЕНИЕМ МОЖНО ПОДКОРМИТЬ МОЛОДУЮ РАССАДУ ТОМАТОВ. БИОГУМУС. Ольга Чернова.

Как работает сложный процент. Магия сложного процента

Как работает сложный процент. Магия сложного процента

Математика. Проценты. Закрепление. 4 класс. Урок 108

Математика. Проценты. Закрепление. 4 класс. Урок 108

Смешав 30-процентный и 60-процентный растворы кислоты и добавив 10 кг чистой воды

Смешав 30-процентный и 60-процентный растворы кислоты и добавив 10 кг чистой воды

ПРОЦЕНТ. 5-6 класс. Понятие процента, задачи на проценты

ПРОЦЕНТ. 5-6 класс. Понятие процента, задачи на проценты

ЛАЙФХАК | БЫСТРО СЧИТАЕМ ПРОЦЕНТЫ | ОДИН ИЗ ПРОСТЫХ СПОСОБОВ

ЛАЙФХАК | БЫСТРО СЧИТАЕМ ПРОЦЕНТЫ | ОДИН ИЗ ПРОСТЫХ СПОСОБОВ

Что такое процент?  Как решать проценты?

Что такое процент? Как решать проценты?

8.12.23. Вклад с самым высоким процентом

8.12.23. Вклад с самым высоким процентом

Смешали 3 кг 24-процентного раствора, 4 кг 32-процентного раствора и некоторое количество 48-процен

Смешали 3 кг 24-процентного раствора, 4 кг 32-процентного раствора и некоторое количество 48-процен

Можно использовать деньги, заработанные процентом? Ответ от Саидмурода Давлатова

Можно использовать деньги, заработанные процентом? Ответ от Саидмурода Давлатова

Что такое РОСТОВЩИЧЕСКИЕ ПРОЦЕНТЫ и как с ними БОРОТЬСЯ

Что такое РОСТОВЩИЧЕСКИЕ ПРОЦЕНТЫ и как с ними БОРОТЬСЯ

Тема 08. Параграф 16. Свойства субоптимальной процедуры для окрестностей 2-го типа в случае тяжелых

Тема 08. Параграф 16. Свойства субоптимальной процедуры для окрестностей 2-го типа в случае тяжелых

Тема 08. Параграф 04. Определение допустимой процедуры оценивания.

Тема 08. Параграф 04. Определение допустимой процедуры оценивания.

Тема 08. Параграф 07. Определение субоптимальности процедуры.

Тема 08. Параграф 07. Определение субоптимальности процедуры.

Тема 07. Параграф 09. Многоэтапные процедуры.

Тема 07. Параграф 09. Многоэтапные процедуры.

"Клиент" и "Клиент процесса" - в чём разница между этими понятиями

Что такое сложный процент? Каким образом он делает людей богатыми?

Что такое сложный процент? Каким образом он делает людей богатыми?

ВИДЕОУРОК 2. Финансовая математика. Сложные проценты.

ВИДЕОУРОК 2. Финансовая математика. Сложные проценты.

1 2 3 4 5

Сегодня ищут:

Процентыповкладамдлянаселенияв втб банке чебоксары

Через сколько дней получают проценты по вкладам