Находки черных копателей
Находки
  • Категории
    • Сериалы
    • Оружие
    • Находки
  • Копатели
  • Фото подборки

Видео: Регистрациячестныйзнак

Смотреть популярное видео

1 2 3 4 5

Сегодня ищут:


Видео о кладах и находках

Секрет идеального запроса к ИИ

Секрет идеального запроса к ИИ

2025-10-16 283 70

1490 Твори жизнь как кино   возможно Все! зеланд жизнь кино манифестация мечта желание

1490 Твори жизнь как кино возможно Все! зеланд жизнь кино манифестация мечта желание

2025-10-16 134 57

Ислам Итляшев  Султан Лагучев - Хулиган

Ислам Итляшев Султан Лагучев - Хулиган

2025-10-16 396 40

Рассказ об интересном экспонате на территории Коломенского кремля.

Рассказ об интересном экспонате на территории Коломенского кремля.

2025-10-06 309 80

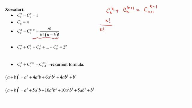
Nyuton binomi va uning tadbiqlari

Nyuton binomi va uning tadbiqlari

2024-07-09 346 61

Зимние заготовки

Зимние заготовки

2025-09-30 173 74

Случайные находки

Лопата немецкого рядового солдата. Фото находки Телефон немецкий войск времен второй мировой Сигнальный пистолет времен ВОВ Мыльница РККА времен Великой Отечественной Войны Вот это находка! Немецкий пистолет 1942 года Немецкая книга 1939 года выпуска Американский карабин времен второй мировой Эксклюзивный револьвер с золотом 1858 года (фото) Артефакт Советской Армии (1941)

Портал посвященный находкам и артефактам. Фото и видео подборки.

© VooVo.ru 2025 | Вся информация взята из открытых источников: Видео - RuTube.ru / Youtube.com
Для РКН | Правообладателям