Новое видео: Заданиеспараметром

Смотреть новое видео

Задание №23. Как найти периметр параллелограмма?

Задание №23. Как найти периметр параллелограмма?

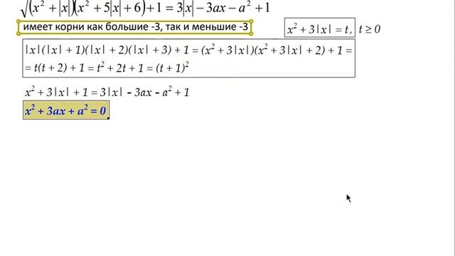
Параметр на ОГЭ #ОГЭ2025 #ЗадачиСПараметром #КвадратичнаяФункция #Модуль #9класс #education  #maths

Параметр на ОГЭ #ОГЭ2025 #ЗадачиСПараметром #КвадратичнаяФункция #Модуль #9класс #education #maths

Стр. 33 № 8 задача нахождение остатка вида A-b•c математика 3 класс 1 часть

Стр. 33 № 8 задача нахождение остатка вида A-b•c математика 3 класс 1 часть



Оперативное совещание с участием Губернатора

Оперативное совещание с участием Губернатора

выполняю задания от зрителей

выполняю задания от зрителей

Задача по ВПР, про рукопожатие

Задача по ВПР, про рукопожатие

ПИШИТЕ ЗАДАНИЯ

ПИШИТЕ ЗАДАНИЯ

Площадь параллелограмма. Теорема Фалеса

Площадь параллелограмма. Теорема Фалеса

01_03_Тема 1 - Задачи в классе.2025-10-10-16-03-20

01_03_Тема 1 - Задачи в классе.2025-10-10-16-03-20

Спиртометр градус крадёт | Проверяю спиртометры и выясняю погрешность

Спиртометр градус крадёт | Проверяю спиртометры и выясняю погрешность

Как решить 18 задание ЕГЭ по Математике? Анализ замены в ПАРАМЕТРЕ. Нахождение решений параболой.

Как решить 18 задание ЕГЭ по Математике? Анализ замены в ПАРАМЕТРЕ. Нахождение решений параболой.

МЦКО 6 класс Задание 9 Найти задуманное число

МЦКО 6 класс Задание 9 Найти задуманное число

Решение задач по теме площадь параллелограмма

Решение задач по теме площадь параллелограмма

Задание 17, вариант 4. Математика ОГЭ 2026. Под редакцией И. В. Ященко.50 вариантов заданий.

Задание 17, вариант 4. Математика ОГЭ 2026. Под редакцией И. В. Ященко.50 вариантов заданий.

решение задач по ГЭСН определение трудоемкости

решение задач по ГЭСН определение трудоемкости

Вероятность. Пациентов отправляют на ПЦР тест

Вероятность. Пациентов отправляют на ПЦР тест

Математика ЕГЭ | Профиль | 13 Задание

Математика ЕГЭ | Профиль | 13 Задание

[1] Задача - расчёт режима радиальной сети

[1] Задача - расчёт режима радиальной сети

ЕГЭ 2017 | Задание 3 | Периметр прямоугольника равен __ ... ✘ Школа Пифагора

ЕГЭ 2017 | Задание 3 | Периметр прямоугольника равен __ ... ✘ Школа Пифагора

Задачи

Задачи

Студенческий квест 3 «Знатоки права» (7 октября 2025 г.)

Студенческий квест 3 «Знатоки права» (7 октября 2025 г.)

Прикладная задача.Квартира (Задание 1-5)//ОГЭ Математика

Прикладная задача.Квартира (Задание 1-5)//ОГЭ Математика

задачи на смеси, сплавы, растворы.

задачи на смеси, сплавы, растворы.

Задание  с параметром ЕГЭ 2023

Задание с параметром ЕГЭ 2023

Задание разрыва контура шарниром на Online калькуляторе Sorpomat.site

Задание разрыва контура шарниром на Online калькуляторе Sorpomat.site

пишите задания

пишите задания

пишите задание

пишите задание

ОГЭ ПО МАТЕМАТИКЕ | ЗАДАНИЕ № 1-5 | ШИНЫ

ОГЭ ПО МАТЕМАТИКЕ | ЗАДАНИЕ № 1-5 | ШИНЫ

Задание

Задание

задание

задание

Как решать задачи с параметром?

Как решать задачи с параметром?

Оперные упражнения по хроматизмам для сопрано и меццо-сопрано

Оперные упражнения по хроматизмам для сопрано и меццо-сопрано

Способы задания плоскости на эпюре #задачипоначертательнойгеометрии #чертежикомпасначерталка

Способы задания плоскости на эпюре #задачипоначертательнойгеометрии #чертежикомпасначерталка

Тригонометрия в задаче с параметром. Задача 18 профильный ЕГЭ

Тригонометрия в задаче с параметром. Задача 18 профильный ЕГЭ

задание

задание

5 задание ЕГЭ

5 задание ЕГЭ

Разбор заданий по теме

Разбор заданий по теме "Правило пирамиды энергии" для студентов СПО

На курорте состоялось расширенное планерное совещание

На курорте состоялось расширенное планерное совещание

задавайте задание

задавайте задание

Разбор заданий по теме

Разбор заданий по теме "Трофические цепи и сети" для студентов СПО

Подготовка учащихся 5–8 классов к выполнению заданий с кратким ответом ВПР по литературе

Подготовка учащихся 5–8 классов к выполнению заданий с кратким ответом ВПР по литературе

Показательное уравнение из второй части ЕГЭ. Задача из профильного ЕГЭ 2023 года.

Показательное уравнение из второй части ЕГЭ. Задача из профильного ЕГЭ 2023 года.

Задание

Задание

Задание

Задание

15.10.2025 Признаки неиспользования

15.10.2025 Признаки неиспользования

задание

задание

задание

задание

задание

задание

Задание 5 ЕГЭ. Приставочные паронимы (часть 2)

Задание 5 ЕГЭ. Приставочные паронимы (часть 2)

Задание 5 ЕГЭ. Приставочные паронимы (часть 3)

Задание 5 ЕГЭ. Приставочные паронимы (часть 3)

Найти периметр параллелограмма задача 374 Атанасян

Найти периметр параллелограмма задача 374 Атанасян

Задача от Миши. Периметр и площадь прямоугольника.

Задача от Миши. Периметр и площадь прямоугольника.

Задание

Задание

задание?

задание?

Задание

Задание

Задание

Задание

опру

опру

Задание 11 - Решение задач из сборника Крылова 2025

Задание 11 - Решение задач из сборника Крылова 2025

Задание 5 ЕГЭ. Суффиксальные паронимы

Задание 5 ЕГЭ. Суффиксальные паронимы

Фрагмент онлайн-урока Постановка Задачи

Фрагмент онлайн-урока Постановка Задачи

ЗАДАЧИ С ПАРАМЕТРОМ. ОЧЕРЕДНАЯ ЗАДАЧА С ПАРАМЕТРОМ С КРАСИВЫМ РЕШЕНИЕМ. как решать?

ЗАДАЧИ С ПАРАМЕТРОМ. ОЧЕРЕДНАЯ ЗАДАЧА С ПАРАМЕТРОМ С КРАСИВЫМ РЕШЕНИЕМ. как решать?

Опыт использования хроматомасс спектрометров для решения задач лабораторной медицины

Опыт использования хроматомасс спектрометров для решения задач лабораторной медицины

10-11 класс. Полуинвариант в логических задачах

10-11 класс. Полуинвариант в логических задачах

ЕГЭ по математике, задача с параметром

ЕГЭ по математике, задача с параметром

Квадратні рівняння з параметрами на НМТ-2024. Урок 16

Квадратні рівняння з параметрами на НМТ-2024. Урок 16

Задачи про площадь и периметр

Задачи про площадь и периметр

Лейтенанта Шмидта. Аренда трехкомнатной квартиры в Самаре. Код объекта 154236

Лейтенанта Шмидта. Аренда трехкомнатной квартиры в Самаре. Код объекта 154236

Симметрия в задачах с параметрами

Симметрия в задачах с параметрами

ЕГЭ 2017 | Задание 3 | Периметр прямоугольника равен __ ... ✘ Школа Пифагора

ЕГЭ 2017 | Задание 3 | Периметр прямоугольника равен __ ... ✘ Школа Пифагора

Разбор решения РГР 1 (задания 1 и 2) на тему

Разбор решения РГР 1 (задания 1 и 2) на тему "Геометрические характеристики сечений"

Сопромат Тема №3 Задача №3.12 Угол поворота и прогиб сечения

Сопромат Тема №3 Задача №3.12 Угол поворота и прогиб сечения

006. Урок 6. Задачи на вычисление погрешностей

006. Урок 6. Задачи на вычисление погрешностей

Задание 242

Задание 242

Задача с параметром.  Инвариантность.

Задача с параметром. Инвариантность.

Методы панорамной спектроскопии. САО РАН 2025. Лекция 5.

Методы панорамной спектроскопии. САО РАН 2025. Лекция 5.

Задание 10 (часть 2) | ВПР-7 2024 Математика | Оценка вычислений при решении практических задач

Задание 10 (часть 2) | ВПР-7 2024 Математика | Оценка вычислений при решении практических задач

ЗАДАНИЕ, КОТОРОЕ ВЫНЕСЛО ПОЧТИ ВСЕХ / ЗАДАНИЕ №3 ИЗ ВПР 6 КЛАССА

ЗАДАНИЕ, КОТОРОЕ ВЫНЕСЛО ПОЧТИ ВСЕХ / ЗАДАНИЕ №3 ИЗ ВПР 6 КЛАССА

Практическое задание

Практическое задание

Как найти/определить точку на тригонометрической(единичной) окружности?

Как найти/определить точку на тригонометрической(единичной) окружности?

Государственный надзор за обращением лекарственных препаратов – гарантия здоровья пациента

Государственный надзор за обращением лекарственных препаратов – гарантия здоровья пациента

Начертательная геометрия: 15_Способ вращения. Прямая

Начертательная геометрия: 15_Способ вращения. Прямая

076. Урок 76. Задачи на правило моментов

076. Урок 76. Задачи на правило моментов

Задачи

Задачи

В Казахстане мужчина проглотил на спор 26 ручек и попал в больницу

В Казахстане мужчина проглотил на спор 26 ручек и попал в больницу

разбор задач 12.10

разбор задач 12.10

Задание 17 (часть 3) | ВПР-8 2024 Математика | Геометрическая задача на вычисление

Задание 17 (часть 3) | ВПР-8 2024 Математика | Геометрическая задача на вычисление

Задачи с параметром. Решаем задачи реальных ЕГЭ

Задачи с параметром. Решаем задачи реальных ЕГЭ

Задачи

Задачи

Решение задачи по стереометрии

Решение задачи по стереометрии

Особенности обучения решению задач с параметром в основной школе

Особенности обучения решению задач с параметром в основной школе

2.6 Задача по номеру месяца определить пору года, через логически операторы ПРАКТИКА

2.6 Задача по номеру месяца определить пору года, через логически операторы ПРАКТИКА

ЕГЭ. Математика. Задачи с параметрами

ЕГЭ. Математика. Задачи с параметрами

Задачи Периметра #Периметр #Гарат #школаСорадение

Задачи Периметра #Периметр #Гарат #школаСорадение

ЕГЭ_математика_Профиль_1 задание_Планиметрия

ЕГЭ_математика_Профиль_1 задание_Планиметрия

Задание 1. Решение задач

Задание 1. Решение задач

задание от см

задание от см

Задачи

Задачи

Симметрия в задачах с параметрами | Задачи с параметрами 2.2.

Симметрия в задачах с параметрами | Задачи с параметрами 2.2.

Задачи с подвохом 1 задание проф. ЕГЭ по математике (старое задание)

Задачи с подвохом 1 задание проф. ЕГЭ по математике (старое задание)

Задача про фломастеры (ЕГЭ. Профиль. Задача 4)

Задача про фломастеры (ЕГЭ. Профиль. Задача 4)

1 2 3 4 5

Сегодня ищут: