Новое видео: Клипобесконечности

Смотреть новое видео

ЗДЕСЬ СОЗДАЮТ НАШИХ КЛОНОВ В БЕСКОНЕЧНОМ ЛАБИРИНТЕ В МАЙНКРАФТ - Эдисон

ЗДЕСЬ СОЗДАЮТ НАШИХ КЛОНОВ В БЕСКОНЕЧНОМ ЛАБИРИНТЕ В МАЙНКРАФТ - Эдисон

Трон, отмеченный Богом 180 Серия - Клип (пробуждает Звёздную корону!) (Аниме-Мультсериал 2022)

Трон, отмеченный Богом 180 Серия - Клип (пробуждает Звёздную корону!) (Аниме-Мультсериал 2022)

отрывки

отрывки



#клипы из фильмов

#клипы из фильмов

Нетронутые уголки дикой природы 14 серия «Насекомые. Они и мы» (документальный сериал, 2012)

Нетронутые уголки дикой природы 14 серия «Насекомые. Они и мы» (документальный сериал, 2012)

SVETLAYA   Бесконечность | Премьера клипа (2024)

SVETLAYA Бесконечность | Премьера клипа (2024)

Трон, отмеченный Богом 180 Серия - Клип (Я хочу защитить всех!) (Аниме-Мультсериал 2022)

Трон, отмеченный Богом 180 Серия - Клип (Я хочу защитить всех!) (Аниме-Мультсериал 2022)

Нетронутые уголки дикой природы 10 серия «Йеллоустон» (документальный сериал, 2012)

Нетронутые уголки дикой природы 10 серия «Йеллоустон» (документальный сериал, 2012)

Песни

Песни

Нетронутые уголки дикой природы 15 серия «Насекомые. Создание миров» (документальный сериал, 2012)

Нетронутые уголки дикой природы 15 серия «Насекомые. Создание миров» (документальный сериал, 2012)

Эпсилон, стремящийся к бесконечности

Эпсилон, стремящийся к бесконечности

Бесконечность. Что это?

Бесконечность. Что это?

отрывки

отрывки

Клип, созданный нейросетью на свои слова!

Клип, созданный нейросетью на свои слова!

отрывки

отрывки

Клип фильма

Клип фильма "Бесконечность", оригинальная озвучка

Бесконечность

Бесконечность

НАШ НОВЫЙ ТРЕК

НАШ НОВЫЙ ТРЕК "БЕСТИЯ" УЖЕ НА ВСЕХ МУЗЫКАЛЬНЫХ ПЛОЩАДКАХ. Ссылка в описании!

Бесконечность

Бесконечность

Бесконечность

Бесконечность

Бесконечность

Бесконечность

бесконечность...

бесконечность...

Бесконечность

Бесконечность

Бесконечность

Бесконечность

Чем вечность бытия отличается от бесконечности

Чем вечность бытия отличается от бесконечности

Любимый город. Музыкальный клип. субтитры

Любимый город. Музыкальный клип. субтитры

Бесконечность

Бесконечность

♑ КОЗЕРОГ! ТЫ САМ ПРИТЯГИВАЕШЬ

♑ КОЗЕРОГ! ТЫ САМ ПРИТЯГИВАЕШЬ "ВИРУС НЕУДАЧИ"! 😱 ПРОВЕРЬТЕ себя и НАЧНИТЕ ЖИТЬ БЕЗ ПОТЕРЬ!

отрывки

отрывки

небо - это про бесконечность... ☁

небо - это про бесконечность... ☁

отрывки

отрывки

Бесконечность

Бесконечность

Бесконечность времен

Бесконечность времен

Бесконечность

Бесконечность

Гача клип „бесконечность“♾

Гача клип „бесконечность“♾

[мини-клип][этажи][скейт бесконечности]

[мини-клип][этажи][скейт бесконечности]

Чем вечность бытия отличается от бесконечности

Чем вечность бытия отличается от бесконечности

Герой среди звёзд #ai #космическиеприключения #генерация #фантастика #музыка #воин

Герой среди звёзд #ai #космическиеприключения #генерация #фантастика #музыка #воин

Трон, Отмеченный Богом — Трек (Фанатская Песня) 🎵

Трон, Отмеченный Богом — Трек (Фанатская Песня) 🎵

Аниме клип/скейт бесконечность/

Аниме клип/скейт бесконечность/

INFINITY (бесконечность) - (official Trek)

INFINITY (бесконечность) - (official Trek)

Этот клип создала нейросеть. Я оживил свои старые фото.

Этот клип создала нейросеть. Я оживил свои старые фото.

"дракон света" пост-панк, авторская песня, творчество нейросети

Звёзд бесконечность...

Звёзд бесконечность...

Клип ,,Человек

Клип ,,Человек"

Фрагмент бесконечности. Фрагмент первый

Фрагмент бесконечности. Фрагмент первый

Фрагмент бесконечности. Фрагмент второй

Фрагмент бесконечности. Фрагмент второй

Фрагмент бесконечности. Фрагмент пятый

Фрагмент бесконечности. Фрагмент пятый

Саманта - клип [Бесконечное лето].

Саманта - клип [Бесконечное лето].

Чем вечность бытия отличается от бесконечности

Чем вечность бытия отличается от бесконечности

Чем вечность бытия отличается от бесконечности

Чем вечность бытия отличается от бесконечности

О бесконечности фильм 2019

О бесконечности фильм 2019

Чем вечность бытия отличается от бесконечности

Чем вечность бытия отличается от бесконечности

Знак бесконечности

Знак бесконечности

Можно ли посчитать сверх бесконечности? (Vsauce на русском)

Можно ли посчитать сверх бесконечности? (Vsauce на русском)

Все возможные испытания на прочность

Все возможные испытания на прочность

наша ∞бесконечность∞

наша ∞бесконечность∞

Парадоксы бесконечности

Парадоксы бесконечности

Что такое бесконечность / Философия о бесконечности

Что такое бесконечность / Философия о бесконечности

титан танос собрал камни бесконечности для истребления половины житилей во вселенной

титан танос собрал камни бесконечности для истребления половины житилей во вселенной

Сердечный центр и сила Бесконечности

Сердечный центр и сила Бесконечности

Знак бесконечности - Клён (неполная)

Знак бесконечности - Клён (неполная)

Фрагмент бесконечности. Фрагмент седьмой

Фрагмент бесконечности. Фрагмент седьмой

Фрагмент бесконечности. Фрагмент третий

Фрагмент бесконечности. Фрагмент третий

Идея абсолютных чисел и понимания бесконечности.

Идея абсолютных чисел и понимания бесконечности.

Этот странный странный тёмный мир. Через миры

Этот странный странный тёмный мир. Через миры

О моё бесконечное небо

О моё бесконечное небо

Человек,  который познал бесконечность

Человек, который познал бесконечность

Мой чёрный человек Версия 2. Музыкальный клип на стихи Андрея Субботина

Мой чёрный человек Версия 2. Музыкальный клип на стихи Андрея Субботина

Маугли (нейросетевой клип)

Маугли (нейросетевой клип)

🧠 ТЕМНАЯ МАТЕРИЯ — КОСМИЧЕСКАЯ DARK ELECTRONIC МУЗЫКА ОТ ИИ

🧠 ТЕМНАЯ МАТЕРИЯ — КОСМИЧЕСКАЯ DARK ELECTRONIC МУЗЫКА ОТ ИИ

Аниме клип:Она опасна

Аниме клип:Она опасна

Шаг мой теряется в зыбких следах | Музыка | Клип

Шаг мой теряется в зыбких следах | Музыка | Клип

Zombie

Zombie

Авторская песня «Бесконечность»

Авторская песня «Бесконечность»

Песня - БЕСКОНЕЧНОСТЬ ПУСТОТЫ

Песня - БЕСКОНЕЧНОСТЬ ПУСТОТЫ

Обзор Фильма Бесконечность

Обзор Фильма Бесконечность

Проект Летняя бесконечность - что это?

Проект Летняя бесконечность - что это?

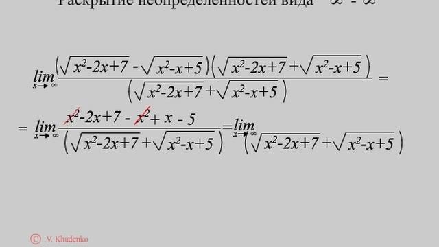
Неопределённость бесконечность минус бесконечность

Неопределённость бесконечность минус бесконечность

Clip

Clip

Сверхспособности человека. Это надо видеть

Сверхспособности человека. Это надо видеть

КЛИП - что это такое? значение и описание

КЛИП - что это такое? значение и описание

Эта песня бесконечная

Эта песня бесконечная

КЛИП : Любовь сильнее соперничества

КЛИП : Любовь сильнее соперничества

Electric Universe - Cosmic Experience (Full Album HQ)

Electric Universe - Cosmic Experience (Full Album HQ)

аниме клип/итачи/одиночество

аниме клип/итачи/одиночество

Музыка самого высокого качества. Невероятный клип....

Музыка самого высокого качества. Невероятный клип....

Танджиро Камадо аниме клип

Танджиро Камадо аниме клип

ЗАКУЛИСЬЕ 002| Съемка двух клипов для группы Ермак!

ЗАКУЛИСЬЕ 002| Съемка двух клипов для группы Ермак!

Сергей Дубровин   Бесконечное небо

Сергей Дубровин Бесконечное небо

Клип из аниме *Конец Человечества*

Клип из аниме *Конец Человечества*

Необычный Клип

Необычный Клип

клип Hd

клип Hd

??????? ???????? ???? [???? ???] - ????? ??????????

??????? ???????? ???? [???? ???] - ????? ??????????

Этот клип заставит забыть обо всём на свете - Нос (feat. Cosmic Monster) -- POVALISHIN DIVISION -- З

Этот клип заставит забыть обо всём на свете - Нос (feat. Cosmic Monster) -- POVALISHIN DIVISION -- З

Клип, созданный блокчейном - технологии меняют искусство! - Track 01 -- Berbere Superstar -- The Bes

Клип, созданный блокчейном - технологии меняют искусство! - Track 01 -- Berbere Superstar -- The Bes

1 2 3 4 5

Сегодня ищут: