Новое видео: Огэпоматематике

Смотреть новое видео

Решение квадратных неравенств. 9 класс. Самый подробный алгоритм. #огэпоматематике #неравенства

Решение квадратных неравенств. 9 класс. Самый подробный алгоритм. #огэпоматематике #неравенства

Задача про зонт. ОГЭ. Практико-ориентированные задачи. #задачапрозонт #огэпоматематике #огэ

Задача про зонт. ОГЭ. Практико-ориентированные задачи. #задачапрозонт #огэпоматематике #огэ

ОГЭ-2025_Математика_Задание№6

ОГЭ-2025_Математика_Задание№6



ОГЭ 2025 ПО МАТЕМАТИКЕ

ОГЭ 2025 ПО МАТЕМАТИКЕ

Алгебраические выражения ФИПИ ОГЭ Математика. Страница 33 #огэпоматематике #какпониматьматематику

Алгебраические выражения ФИПИ ОГЭ Математика. Страница 33 #огэпоматематике #какпониматьматематику

#math Задание 8. Разбор варианта для подготовки к #огэпоматематике #огэ2023 #математика

#math Задание 8. Разбор варианта для подготовки к #огэпоматематике #огэ2023 #математика

Уравнения и неравенства ФИПИ ОГЭ Математика. Страница 2 #огэпоматематике #уравнения

Уравнения и неравенства ФИПИ ОГЭ Математика. Страница 2 #огэпоматематике #уравнения

Задача про участок земли. ОГЭ. #практикоориентированныезадачи #подготовкакогэ #огэпоматематике

Задача про участок земли. ОГЭ. #практикоориентированныезадачи #подготовкакогэ #огэпоматематике

Геометрия ФИПИ ОГЭ Математика. Страница 2 | Как понимать математику #огэпоматематике

Геометрия ФИПИ ОГЭ Математика. Страница 2 | Как понимать математику #огэпоматематике

Уравнения и неравенства ФИПИ ОГЭ Математика. Страница 1 #огэпоматематике #уравнения

Уравнения и неравенства ФИПИ ОГЭ Математика. Страница 1 #огэпоматематике #уравнения

Геометрия ФИПИ ОГЭ Математика. Страница 3 | Как понимать математику #огэпоматематике

Геометрия ФИПИ ОГЭ Математика. Страница 3 | Как понимать математику #огэпоматематике

ОГЭ по истории на максимум: секреты и лайфхаки первой части | ОГЭ ИСТОРИЯ 2023 | СОТКА

ОГЭ по истории на максимум: секреты и лайфхаки первой части | ОГЭ ИСТОРИЯ 2023 | СОТКА

Математика ОГЭ

Математика ОГЭ

ОГЭ 2026. Математика. Вариант 8 из 36 вариантов. Под ред. И.В. Ященко. Задания 1 - 19.

ОГЭ 2026. Математика. Вариант 8 из 36 вариантов. Под ред. И.В. Ященко. Задания 1 - 19.

Математика ОГЭ

Математика ОГЭ

ОГЭ-2025_Математика_Задание №10_Вероятность

ОГЭ-2025_Математика_Задание №10_Вероятность

Справочные материалы на ОГЭ | МАТЕМАТИКА

Справочные материалы на ОГЭ | МАТЕМАТИКА

ОГЭ 2026. Математика. Вариант 13 из 50 вариантов. Под ред. И.В. Ященко. Задания 6 - 19

ОГЭ 2026. Математика. Вариант 13 из 50 вариантов. Под ред. И.В. Ященко. Задания 6 - 19

ОГЭ_математика_тип_15

ОГЭ_математика_тип_15

ОГЭ математика. СТЕПЕНИ

ОГЭ математика. СТЕПЕНИ

ОГЭ ПО МАТЕМАТИКЕ ОТВЕТЫ - РАЗБОР СБОРНИКА

ОГЭ ПО МАТЕМАТИКЕ ОТВЕТЫ - РАЗБОР СБОРНИКА

СЛИВ ОГЭ 2025 | Реальный вариант ОГЭ по математике | Досрок ОГЭ

СЛИВ ОГЭ 2025 | Реальный вариант ОГЭ по математике | Досрок ОГЭ

ОГЭ по Математике 2023

ОГЭ по Математике 2023

Законы Ньютона | Физика ОГЭ | Умскул

Законы Ньютона | Физика ОГЭ | Умскул

Как решить задачу про огород на ОГЭ? / Разбор заданий про огород на ОГЭ по математике

Как решить задачу про огород на ОГЭ? / Разбор заданий про огород на ОГЭ по математике

Разбор демоверсии ОГЭ по математике 2024.

Разбор демоверсии ОГЭ по математике 2024.

огэ

огэ

ОГЭ_МАТЕМАТИКА_ТИП_13

ОГЭ_МАТЕМАТИКА_ТИП_13

Как подготовиться к ОГЭ по математике  Образовательный обзор

Как подготовиться к ОГЭ по математике Образовательный обзор

Подготовка к ОГЭ по математике

Подготовка к ОГЭ по математике

?ШПАРГАЛКА НА ОГЭ ПО МАТЕМАТИКЕ?/ЧТО УЧИТЬ??ФОРМУЛЫ И ПРАВИЛА НА ОГЭ

?ШПАРГАЛКА НА ОГЭ ПО МАТЕМАТИКЕ?/ЧТО УЧИТЬ??ФОРМУЛЫ И ПРАВИЛА НА ОГЭ

Подготовка к ОГЭ по математике 2019 вариант 22 из сборника под ред. Мальцева Д. А.

Подготовка к ОГЭ по математике 2019 вариант 22 из сборника под ред. Мальцева Д. А.

ОГЭ по математике

ОГЭ по математике

ОГЭ по математике

ОГЭ по математике

ОГЭ по математике

ОГЭ по математике

Подготовка к ОГЭ по математике

Подготовка к ОГЭ по математике

#ОГЭматематика #Задачаошинах

#ОГЭматематика #Задачаошинах

ВАЖНАЯ информация, которая поможет СДАТЬ ОГЭ по математике! / Полезные ссылки и шпаргалки

ВАЖНАЯ информация, которая поможет СДАТЬ ОГЭ по математике! / Полезные ссылки и шпаргалки

Разбор и лайфхаки первой части варианта ОГЭ по математике

Разбор и лайфхаки первой части варианта ОГЭ по математике

Вариант 7. Часть 2. Задача № 20-25. ОГЭ-2026. Математика под ред. Лысенко Ф.Ф.

Вариант 7. Часть 2. Задача № 20-25. ОГЭ-2026. Математика под ред. Лысенко Ф.Ф.

Шина. Ященко ОГЭ 2026. 1-5 задание. Подготовка к ОГЭ. Клуб репетиторов

Шина. Ященко ОГЭ 2026. 1-5 задание. Подготовка к ОГЭ. Клуб репетиторов

ОГЭ-2025_Математика_Задание№10(фонарики)

ОГЭ-2025_Математика_Задание№10(фонарики)

ОГЭ-2025_Математика_Задание №17

ОГЭ-2025_Математика_Задание №17

ОГЭ-2025_Математика_Задание №9

ОГЭ-2025_Математика_Задание №9

Когда начинать подготовку к ЕГЭ | Физика, ЕГЭ, ОГЭ, Олимпиады

Когда начинать подготовку к ЕГЭ | Физика, ЕГЭ, ОГЭ, Олимпиады

ОГЭ.  Квадратичные неравенства. Метод интервалов.

ОГЭ. Квадратичные неравенства. Метод интервалов.

ОГЭ-2025_Математика_Задание№11.

ОГЭ-2025_Математика_Задание№11.

ОГЭ-2025_Математика_Площадь ромба.

ОГЭ-2025_Математика_Площадь ромба.

Разбиваем прямыми плоскость на части

Разбиваем прямыми плоскость на части

Задачи на переливания. Два сосуда

Задачи на переливания. Два сосуда

Странная задача. Прямо пропорциональная зависимость

Странная задача. Прямо пропорциональная зависимость

ОГЭ-2025_Математика_Равносторонний треугольник.

ОГЭ-2025_Математика_Равносторонний треугольник.

Подготовка к ОГЭ ( математика )

Подготовка к ОГЭ ( математика )

📚 Решаем №8 из ОГЭ-2025 двумя способами!

📚 Решаем №8 из ОГЭ-2025 двумя способами!

ОГЭ,математика №14. Две очень похожие и очень разные задачи.

ОГЭ,математика №14. Две очень похожие и очень разные задачи.

ОГЭ математика тип_10

ОГЭ математика тип_10

ОГЭ-2025_Математика_Вписанная окружность.

ОГЭ-2025_Математика_Вписанная окружность.

«Лайфхаки от экспертов». Математика ОГЭ

«Лайфхаки от экспертов». Математика ОГЭ

"Тригонометрия за 15 минут|МАТЕМАТИКА ОГЭ|СОТКА

Секреты успешной подготовки к ОГЭ | PARTA МАТЕМАТИКА ОГЭ 2023

Секреты успешной подготовки к ОГЭ | PARTA МАТЕМАТИКА ОГЭ 2023

ОГЭ-2025_Математика_Задание №20(2 балла)

ОГЭ-2025_Математика_Задание №20(2 балла)

РАЗБИРАЕМ НОВЫЙ ТИП 23 ЗАДАНИЯ ИЗ ОГЭ | ОГЭ ПО ХИМИИ | Ма?

РАЗБИРАЕМ НОВЫЙ ТИП 23 ЗАДАНИЯ ИЗ ОГЭ | ОГЭ ПО ХИМИИ | Ма?

Подготовка к ОГЭ

Подготовка к ОГЭ

Подготовка К ОГЭ

Подготовка К ОГЭ

Подготовка к ОГЭ

Подготовка к ОГЭ

ОГЭ. Математика. Задание 16. Четырёхугольник ABCD вписан в окружность. Угол АВС равен

ОГЭ. Математика. Задание 16. Четырёхугольник ABCD вписан в окружность. Угол АВС равен

задание огэ

задание огэ

05

05

подготовка к ОГЭ

подготовка к ОГЭ

📚 Решаем №10 из ОГЭ-2025 на раз-два!

📚 Решаем №10 из ОГЭ-2025 на раз-два!

Подготовка к ОГЭ по физике. Разбор варианта ОГЭ

Подготовка к ОГЭ по физике. Разбор варианта ОГЭ

Как готовиться к ОГЭ летом? | PARTA ОГЭ 2024

Как готовиться к ОГЭ летом? | PARTA ОГЭ 2024

Разбор варианта ОГЭ тема Участок. Подготовка к ОГЭ 2024

Разбор варианта ОГЭ тема Участок. Подготовка к ОГЭ 2024

Как подготовиться к ОГЭ за два месяца? / Лучшие источники для подготовки ОГЭ!

Как подготовиться к ОГЭ за два месяца? / Лучшие источники для подготовки ОГЭ!

ОГЭ СОВСЕМ СКОРО😟 НЕ ДОПУСКАЮТ К ЭКЗАМЕНАМ. НЕ ПРОШЛА ПРОВЕРКУ?😰///МОЯ ЛИЧНАЯ ПОДГОТОВКА К ОГЭ

ОГЭ СОВСЕМ СКОРО😟 НЕ ДОПУСКАЮТ К ЭКЗАМЕНАМ. НЕ ПРОШЛА ПРОВЕРКУ?😰///МОЯ ЛИЧНАЯ ПОДГОТОВКА К ОГЭ

Решаю Вариант 1 ОГЭ ИСТОРИЯ из сборника для подготовки к ОГЭ 2024-2025

Решаю Вариант 1 ОГЭ ИСТОРИЯ из сборника для подготовки к ОГЭ 2024-2025

ОГЭ. История. Новый полный справочник для подготовки к ОГЭ

ОГЭ. История. Новый полный справочник для подготовки к ОГЭ

ОГЭ_Искусство

ОГЭ_Искусство

ОГЭ-2019

ОГЭ-2019

Школково решение 21 задания огэ по математике, с помощь

Школково решение 21 задания огэ по математике, с помощь

Разбираем алгебру 7 класса! Статистические характеристики и функции #алгебра #7класс #огэматематика

Разбираем алгебру 7 класса! Статистические характеристики и функции #алгебра #7класс #огэматематика

ОГЭ 2026. Сборник Ященко. 6-19 задание. Вариант 36 Подготовка к ОГЭ. Клуб репетиторов

ОГЭ 2026. Сборник Ященко. 6-19 задание. Вариант 36 Подготовка к ОГЭ. Клуб репетиторов

Как выполнять задания ОГЭ-2026 по информатике

Как выполнять задания ОГЭ-2026 по информатике

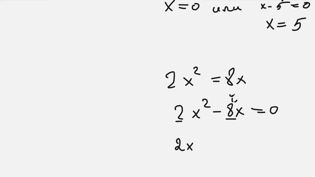
Квадратный корень. Определение. Свойства 8 задание ОГЭ Варианты 31,32,13-16

Квадратный корень. Определение. Свойства 8 задание ОГЭ Варианты 31,32,13-16

Применение первого признака равенства треугольников к решению задач

Применение первого признака равенства треугольников к решению задач

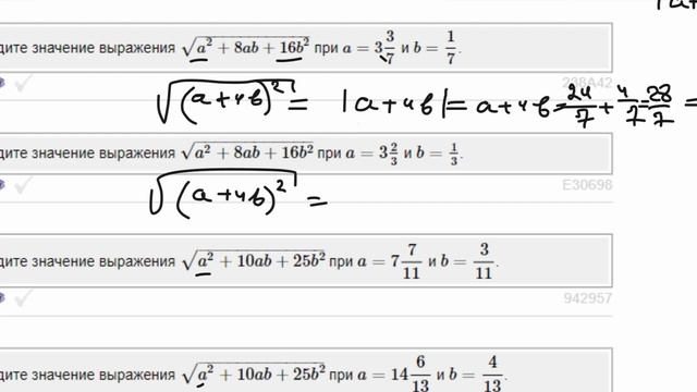
Квадратный корень ОГЭ математика 8 задание Варианты 17-22

Квадратный корень ОГЭ математика 8 задание Варианты 17-22

Правильная треугольная призма. Площадь сечения

Правильная треугольная призма. Площадь сечения

#РЕШЕНИЕПОКАЗАТЕЛЬНЫХУРАВНЕНИЙ  
#ОГЭМАТЕМАТИКА

#РЕШЕНИЕПОКАЗАТЕЛЬНЫХУРАВНЕНИЙ #ОГЭМАТЕМАТИКА

Векторы из 9 класса помогут решить задачу

Векторы из 9 класса помогут решить задачу

Как смешивать Цвета в живописи | Теория и практика. Цветовой круг Иттена

Как смешивать Цвета в живописи | Теория и практика. Цветовой круг Иттена

Что было на реальном ОГЭ по обществознанию в 2025

Что было на реальном ОГЭ по обществознанию в 2025

Как отмерить 3 литра воды с помощью ёмкостей 9 л и 5 л?

Как отмерить 3 литра воды с помощью ёмкостей 9 л и 5 л?

Виды связей и решеток. 5 задание ОГЭ - это просто! Изменения в КИМ ОГЭ и ЕГЭ по химии 2026 года!

Виды связей и решеток. 5 задание ОГЭ - это просто! Изменения в КИМ ОГЭ и ЕГЭ по химии 2026 года!

ОГЭ математика Задание 18 на клетчатой бумаге варианты

ОГЭ математика Задание 18 на клетчатой бумаге варианты

Докажем равенство трёх треугольников

Докажем равенство трёх треугольников

ОГО!

ОГО!

Разбор варианта 1 ЕГЭ 2026 по истории | Владимир Трегубенко

Разбор варианта 1 ЕГЭ 2026 по истории | Владимир Трегубенко

1 2 3 4 5

Сегодня ищут: