Новое видео: Производительность труда

Смотреть новое видео

Производительность труда

Производительность труда

Как заставить менеджеров работать эффективнее и повысить производительность труда вдвое

Как заставить менеджеров работать эффективнее и повысить производительность труда вдвое

14 Охрана труда при производстве отдельных видов пищевой продукции

14 Охрана труда при производстве отдельных видов пищевой продукции



Интервью 31 каналу Производительность труда

Интервью 31 каналу Производительность труда

Регион LIFE | Производительность труда | ОТС LIVE — прямая трансляция

Регион LIFE | Производительность труда | ОТС LIVE — прямая трансляция

В федпроекте «Производительность труда» принимают участие уже более 500 столичных компаний

В федпроекте «Производительность труда» принимают участие уже более 500 столичных компаний

Национальный проект

Национальный проект "Производительность труда"

3 3 Производительность труда  Показатели, факторы и резервы роста

3 3 Производительность труда Показатели, факторы и резервы роста

Производительность труда

Производительность труда

Производительность труда. Обрабатывающая промышленность

Производительность труда. Обрабатывающая промышленность

Производительность труда. Понятие и методы расчета

Производительность труда. Понятие и методы расчета

Методы и показатели измерения производительности труда

Методы и показатели измерения производительности труда

Производительность труда

Производительность труда

Производительность труда

Производительность труда

Плюсы нацпроекта «Производительность труда»

Плюсы нацпроекта «Производительность труда»

Математика  Производительность труда

Математика Производительность труда

Нацпроект «Производительность труда» позволяет ускорить работу

Нацпроект «Производительность труда» позволяет ускорить работу

Кадры и производительность труда!

Кадры и производительность труда!

Производительность труда - зачем и как?

Производительность труда - зачем и как?

Как повышать производительность труда на предприятии

Как повышать производительность труда на предприятии

Проект

Проект "Эффективная губерния" по повышению производительности труда

Производительность труда как её повысить.

Производительность труда как её повысить.

Как повысить производительность  труда?

Как повысить производительность труда?

Руководство по повышению производительности труда

Руководство по повышению производительности труда

Подробно о том, как повысить производительность труда

Подробно о том, как повысить производительность труда

Почему в России низкая производительность труда

Почему в России низкая производительность труда

Статистика производительности труда

Статистика производительности труда

Нацпроект | Производительность труда

Нацпроект | Производительность труда

Производительность труда формула

Производительность труда формула

Производительность труда 05.03.2021

Производительность труда 05.03.2021

Как повысить производительность труда на предприятии?

Как повысить производительность труда на предприятии?

Повышение производительности труда

Повышение производительности труда

О производительности труда

О производительности труда

ТЕМА ДНЯ_Проблема производительности труда в России

ТЕМА ДНЯ_Проблема производительности труда в России

Предприятия улучшают производство по нацпроекту

Предприятия улучшают производство по нацпроекту "Производительность труда"

Эффективное производство. Как повысить производительность труда и снизить затраты?

Эффективное производство. Как повысить производительность труда и снизить затраты?

"Производительность труда" помогает предприятиям увеличить производство рыбы.

«Производительность труда» помогает сделать продукцию вкуснее, а процесс производства эффективнее

«Производительность труда» помогает сделать продукцию вкуснее, а процесс производства эффективнее

Вячеслав Володин: без качественной подготовки рабочих кадров не увеличить производительность труда

Вячеслав Володин: без качественной подготовки рабочих кадров не увеличить производительность труда

Свердловские предприятия активно участвуют в реализации нацпроекта

Свердловские предприятия активно участвуют в реализации нацпроекта "Производительность труда"

Нацпроект «Производительность труда» позволяет ускорить работу

Нацпроект «Производительность труда» позволяет ускорить работу

ФИЛЬМ производительность труда нацпроект

ФИЛЬМ производительность труда нацпроект

🏭 Вся правда о

🏭 Вся правда о "производительности труда"

Что такое производительность труда и почему она должна расти быстрее зарплаты?

Что такое производительность труда и почему она должна расти быстрее зарплаты?

Как повысить производительность труда на 5%

Как повысить производительность труда на 5%

Рост производительности труда

Рост производительности труда

Как повысить производительность труда

Как повысить производительность труда

Предельная производительность труда. Закон убывающей Предельной производительности труда

Предельная производительность труда. Закон убывающей Предельной производительности труда

Кадры и производительность труда!

Кадры и производительность труда!

3 5 Производительность труда в строительстве

3 5 Производительность труда в строительстве

рцк производительность труда

рцк производительность труда

Производительность труда 06.03.2025

Производительность труда 06.03.2025

Производительность труда 28.05.2024

Производительность труда 28.05.2024

Какие решения есть для роста производительности труда в стране

Какие решения есть для роста производительности труда в стране

В регионе стартовал проект «Производительность труда на малых и средних предприятиях»

В регионе стартовал проект «Производительность труда на малых и средних предприятиях»

Новая программа: производительность труда в России вырастет на 20%

Новая программа: производительность труда в России вырастет на 20%

Практический опыт повышения производительности труда.

Практический опыт повышения производительности труда.

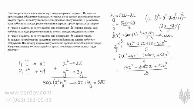
Задача на производительность труда — часть 2

Задача на производительность труда — часть 2

4.4.3  Производительность труда

4.4.3 Производительность труда

Производительность труда. Безопасность и здоровье

Производительность труда. Безопасность и здоровье

Производительность труда 09.03.2022

Производительность труда 09.03.2022

Проект «Производительность труда» успешно реализуют на 3-х предприятиях

Проект «Производительность труда» успешно реализуют на 3-х предприятиях

Подмосковье выполнило все цели нацпроекта Производительность труда

Подмосковье выполнило все цели нацпроекта Производительность труда

Повышаем производительность труда)

Повышаем производительность труда)

Воскобойников // Какой потенциал производительности труда в России?

Воскобойников // Какой потенциал производительности труда в России?

Условия труда. Производительность труда

Условия труда. Производительность труда

Резервы повышения производительности труда

Резервы повышения производительности труда

Производительность труда 09.11.2020

Производительность труда 09.11.2020

Производительность_труда

Производительность_труда

Обучающий вебинар - «По повышению производительности труда»

Обучающий вебинар - «По повышению производительности труда»

Как в разы повысить производительность труда на предприятии? || ТехноНИКОЛЬ

Как в разы повысить производительность труда на предприятии? || ТехноНИКОЛЬ

Производительность труда. Экономическая азбука

Производительность труда. Экономическая азбука

Более 280 компаний в Свердловской области участвуют в нацпроекте «Производительность труда».

Более 280 компаний в Свердловской области участвуют в нацпроекте «Производительность труда».

Типовая программа повышения производительности труда на предприятии

Типовая программа повышения производительности труда на предприятии

Орловчан учат как повысить производительность труда.

Орловчан учат как повысить производительность труда.

Производительность труда 13.04.2023

Производительность труда 13.04.2023

Производительность труда и экономический рост

Производительность труда и экономический рост

«Производительность труда» помогает производителям косметики повышать объемы и качество продукции

«Производительность труда» помогает производителям косметики повышать объемы и качество продукции

Производительность труда | Показатель развития экономики

Производительность труда | Показатель развития экономики

Как компании повышают производительность труда, чтобы бороться с дефицитом персонала

Как компании повышают производительность труда, чтобы бороться с дефицитом персонала

Завод

Завод "Техтрон" повысил производительность труда

Производительность труда 10.11.2023

Производительность труда 10.11.2023

Производственная компания Техпромсинтез участвует в национальном проекте Производительность труда

Производственная компания Техпромсинтез участвует в национальном проекте Производительность труда

Подведение итогов реализации национального проекта

Подведение итогов реализации национального проекта "Производительность труда и поддержка занятости"

Повышение производительности труда в крае

Повышение производительности труда в крае

Производительность труда 20.09.2024

Производительность труда 20.09.2024

Орловские предприятия увеличивают производительность труда

Орловские предприятия увеличивают производительность труда

Предприятия Свердловской области активно включились в нацпроект

Предприятия Свердловской области активно включились в нацпроект "Производительность труда"

Первые итоги реализации нацпроекта «Производительность труда» в строительной отрасли

Первые итоги реализации нацпроекта «Производительность труда» в строительной отрасли

Производительность труда

Производительность труда

Всегда ли нужна высокая производительность труда в отдельном коллективе?

Всегда ли нужна высокая производительность труда в отдельном коллективе?

В Нижегородской области продолжается реализация федерального проекта «Производительность труда»

В Нижегородской области продолжается реализация федерального проекта «Производительность труда»

Национальный проект

Национальный проект "Производительность труда и поддержка занятости" в цифрах.

Комплексная программа повышения производительности труда Следуй за лидерами

Комплексная программа повышения производительности труда Следуй за лидерами

Lammin участник национального проекта Производительность труда

Lammin участник национального проекта Производительность труда

Как поднять производительность труда без затрат?

Как поднять производительность труда без затрат?

Производительность труда 19.11.2024

Производительность труда 19.11.2024

Итоги реализации нацпроекта

Итоги реализации нацпроекта "Производительность труда и поддержка занятости"

1 2 3 4 5

Сегодня ищут:

Производительность труда

Производительность труда это

Производительность труда в хабаровском крае date:20220701..20220731

Производительность труда челябинск

Производительность труда на оао южуралкондитер