Новое видео: Профильнаяшкола

Смотреть новое видео

Математика Профильная 1 Урок

Математика Профильная 1 Урок

ВСЯ ПЕРВАЯ ЧАСТЬ ЗА 15 МИНУТ ЕГЭ 2026 НА 70 БАЛЛОВ | ПРОФИЛЬНАЯ МАТЕМАТИКА 2026

ВСЯ ПЕРВАЯ ЧАСТЬ ЗА 15 МИНУТ ЕГЭ 2026 НА 70 БАЛЛОВ | ПРОФИЛЬНАЯ МАТЕМАТИКА 2026

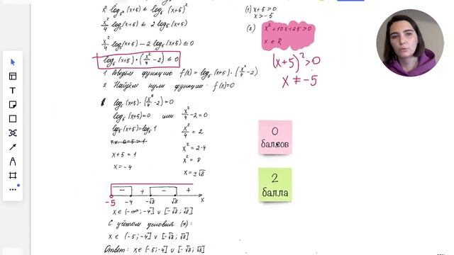
✅ ЕГЭ 2017 математика профильный уровень

✅ ЕГЭ 2017 математика профильный уровень



Репетиторство или Материнство: найти баланс между семьей и работой

Репетиторство или Материнство: найти баланс между семьей и работой

Все типы 9 задания | Математика ЕГЭ ПРОФИЛЬ | Умскул

Все типы 9 задания | Математика ЕГЭ ПРОФИЛЬ | Умскул

ЕГЭ математика профильный уровень #20.18

ЕГЭ математика профильный уровень #20.18

Профильная система VEKA

Профильная система VEKA

ЕГЭ математика профиль#7.18✏️

ЕГЭ математика профиль#7.18✏️

Стероидный профиль в практике врача

Стероидный профиль в практике врача

Профильный класс

Профильный класс

Профильная система VEKA PROLINE

Профильная система VEKA PROLINE

Профильное обучение

Профильное обучение

Тонкости оформления 2 части | ЕГЭ профильная математика

Тонкости оформления 2 части | ЕГЭ профильная математика

профильная математика ЕГЭ

профильная математика ЕГЭ

Профильная математика. Лайфхаки для ЕГЭ по профилю на 90+

Профильная математика. Лайфхаки для ЕГЭ по профилю на 90+

Интенсив «Психология стройности» ⠀

Интенсив «Психология стройности» ⠀

Подготовка к ЕГЭ - математика профильная. Тип 16. Репетитор Шевченко Юрий Алексеевич.

Подготовка к ЕГЭ - математика профильная. Тип 16. Репетитор Шевченко Юрий Алексеевич.

ПРОФИЛЬНАЯ МАТЕМАТИКА ЕГЭ 2021 | Что важно знать перед экзаменом? | PARTA

ПРОФИЛЬНАЯ МАТЕМАТИКА ЕГЭ 2021 | Что важно знать перед экзаменом? | PARTA

Профориентационный Слёт для старшеклассников в Ульяновске

Профориентационный Слёт для старшеклассников в Ульяновске

Математика ЕГЭ | Профиль | 13 Задание

Математика ЕГЭ | Профиль | 13 Задание

Урок 16 сдам профиль

Урок 16 сдам профиль

Возможности и ресурсы профильной школы для подготовки к технологическим специальностям

Возможности и ресурсы профильной школы для подготовки к технологическим специальностям

Прокатка профильного композитного полиэфирного листа ERSTE® (начало линии)

Прокатка профильного композитного полиэфирного листа ERSTE® (начало линии)

Что такое профиль. Виды профилей. Дизайн Человека

Что такое профиль. Виды профилей. Дизайн Человека

Как 9-тикласснику выбрать профиль в 10-м классе? А может быть в колледж? Или просто пойти работать?

Как 9-тикласснику выбрать профиль в 10-м классе? А может быть в колледж? Или просто пойти работать?

Выпускникам школы № 4 помогают определиться с будущей профессией

Выпускникам школы № 4 помогают определиться с будущей профессией

74 Углы вида 2πk. Периодичность тригонометрических функций. Математика. 10 класс

74 Углы вида 2πk. Периодичность тригонометрических функций. Математика. 10 класс

г. Альметьевск, Школа №4, 1976 год

г. Альметьевск, Школа №4, 1976 год

Круглый стол «Современные технологии обучения математике в профильной школе»

Круглый стол «Современные технологии обучения математике в профильной школе»

Функции

Функции

ВСЕ ЛАЙФХАКИ по первой части | Профильная математика ЕГЭ | 100балльный репетитор

ВСЕ ЛАЙФХАКИ по первой части | Профильная математика ЕГЭ | 100балльный репетитор

Раскладываем профиль по полочкам | ЕГЭ профильная математика

Раскладываем профиль по полочкам | ЕГЭ профильная математика

Отзыв о курсе Успешный декоратор ПРОФИ от Натальи Хоменко

Отзыв о курсе Успешный декоратор ПРОФИ от Натальи Хоменко

ЕГЭ ПРОФИЛЬ ПЕРВАЯ ЧАСТЬ 2023 С НУЛЯ | ПУТЬ К 80+ ПРОФИЛЬНАЯ МАТЕМАТИКА

ЕГЭ ПРОФИЛЬ ПЕРВАЯ ЧАСТЬ 2023 С НУЛЯ | ПУТЬ К 80+ ПРОФИЛЬНАЯ МАТЕМАТИКА

Вневписанная окружность. Теория | Профильная математика в онлайн - школе СОТКА

Вневписанная окружность. Теория | Профильная математика в онлайн - школе СОТКА

профиль

профиль

Лингвистический профиль | Разбор заданий профильного экзамена

Лингвистический профиль | Разбор заданий профильного экзамена

Лингвистический профиль | Разбор заданий профильного экзамена

Лингвистический профиль | Разбор заданий профильного экзамена

Что такое ПРОФИЛЬ

Что такое ПРОФИЛЬ

профиль

профиль

профиль

профиль

Конструкционный профиль 15х30 (Анодированный)

Конструкционный профиль 15х30 (Анодированный)

Образование нового уровня: профильное и предпрофильное обучение в школе №21

Образование нового уровня: профильное и предпрофильное обучение в школе №21

Урок 15 сдам профиль

Урок 15 сдам профиль

Профиль

Профиль

ЕГЭ–2025, математика профильная  задания 1 ЧАСТИ НА 70 БАЛЛОВ

ЕГЭ–2025, математика профильная задания 1 ЧАСТИ НА 70 БАЛЛОВ

ЕГЭ по математике профиль #6.17

ЕГЭ по математике профиль #6.17

ЕГЭ математика профиль#1

ЕГЭ математика профиль#1

ЕГЭ-2021, профильная математика, реальный вариант  - методы решений, оформление

ЕГЭ-2021, профильная математика, реальный вариант - методы решений, оформление

Урок 9 сдам профиль

Урок 9 сдам профиль

Естественно-научный профиль в Школе №949

Естественно-научный профиль в Школе №949

САМОЕ СЛОЖНОЕ задание из профиля ЕГЭ | №17 профильная математика ЕГЭ 2 ЧАСТЬ

САМОЕ СЛОЖНОЕ задание из профиля ЕГЭ | №17 профильная математика ЕГЭ 2 ЧАСТЬ

Центральные углы на ЕГЭ по профильной математике

Центральные углы на ЕГЭ по профильной математике

Шпаргалка перед ЕГЭ. Профильная математика

Шпаргалка перед ЕГЭ. Профильная математика

За это забирают в армию!

За это забирают в армию!

Отличие профиля VEKA (окна) отличается от других профилей

Отличие профиля VEKA (окна) отличается от других профилей

Преимущества профиля VEKA

Преимущества профиля VEKA

Вклады | Задача 16 математика профиль | Профильная мате?

Вклады | Задача 16 математика профиль | Профильная мате?

Что делать за НЕДЕЛЮ до профиля? | ЕГЭ профильная математика

Что делать за НЕДЕЛЮ до профиля? | ЕГЭ профильная математика

В школах Северского района появится новое профильное обучение

В школах Северского района появится новое профильное обучение

Секреты профильного ЕГЭ по математике

Секреты профильного ЕГЭ по математике

Урок 6 сдам профиль

Урок 6 сдам профиль

ЕГЭ математика профиль#2

ЕГЭ математика профиль#2

Презентация профильных классов в Школе №2000. Часть 1.

Презентация профильных классов в Школе №2000. Часть 1.

Топ сложных задач первой части профильного ЕГЭ по математике.

Топ сложных задач первой части профильного ЕГЭ по математике.

Мастер-класс. Профильный ЕГЭ по математике — решаем легко!

Мастер-класс. Профильный ЕГЭ по математике — решаем легко!

Некоторые виды профильных работ

Некоторые виды профильных работ

Показательное уравнение из второй части ЕГЭ. Задача из профильного ЕГЭ 2023 года.

Показательное уравнение из второй части ЕГЭ. Задача из профильного ЕГЭ 2023 года.

ЕГЭ профиль №8 Геометрический смысл производных  №1

ЕГЭ профиль №8 Геометрический смысл производных №1

Профиль 1

Профиль 1

ЕГЭ. Математика. Профиль. #Урок1. Простейшие задачи прикладного характера

ЕГЭ. Математика. Профиль. #Урок1. Простейшие задачи прикладного характера

Урок 8 сдам профиль

Урок 8 сдам профиль

Мастерство Видеомонтажа: От А до Я | «Профшкола»

Мастерство Видеомонтажа: От А до Я | «Профшкола»

Урок 8 профиль на 100

Урок 8 профиль на 100

Профиль

Профиль

Профилапрост (Profilaprost)

Профилапрост (Profilaprost)

5.2 Профиль по компоновке (проектный профиль)

5.2 Профиль по компоновке (проектный профиль)

Выбор профиля VEKA

Выбор профиля VEKA

Все задачи №10 из реальных вариантов профильного ЕГЭ 2017-2021 годов разбор подборки

Все задачи №10 из реальных вариантов профильного ЕГЭ 2017-2021 годов разбор подборки

КОНСТРУКЦИОННЫЙ ПРОФИЛЬ | выпуск 19| Телескопический штатив

КОНСТРУКЦИОННЫЙ ПРОФИЛЬ | выпуск 19| Телескопический штатив

ЯКласс  Профиль ученика

ЯКласс Профиль ученика

ЕГЭ профильная математика. Площадь фигур. Продолжение тут: Https://stepik.org/a/123457

ЕГЭ профильная математика. Площадь фигур. Продолжение тут: Https://stepik.org/a/123457

3.5

3.5

КОНСТРУКЦИОННЫЙ ПРОФИЛЬ | выпуск 3 | Диспетчер

КОНСТРУКЦИОННЫЙ ПРОФИЛЬ | выпуск 3 | Диспетчер

Профиль 1

Профиль 1

5.4

5.4

IT-класс | Профили Школы 1298

IT-класс | Профили Школы 1298

ЕГЭ профиль 1 углы

ЕГЭ профиль 1 углы

Построение профиля

Построение профиля

Урок 12 профиль на 100

Урок 12 профиль на 100

Беседа о размерности пространств с экспертом по внутреннему состоянию

Беседа о размерности пространств с экспертом по внутреннему состоянию

Профильные классы в школе 1329

Профильные классы в школе 1329

Профильные системы КВЕ в деталях. Выпуск 2

Профильные системы КВЕ в деталях. Выпуск 2

Задача 13, сборник Ященко-2026, ЕГЭ профиль

Задача 13, сборник Ященко-2026, ЕГЭ профиль

г. Бирск. Городской лицей. Коррекционная школа-интернат. Август 2025 г.

г. Бирск. Городской лицей. Коррекционная школа-интернат. Август 2025 г.

23 вариант ЕГЭ профиль 2023

23 вариант ЕГЭ профиль 2023

Профилактическое мероприятие «Колея» 13-10-2025

Профилактическое мероприятие «Колея» 13-10-2025

КОНСТРУКЦИОННЫЙ ПРОФИЛЬ | выпуск 8 | Магнитная пушка

КОНСТРУКЦИОННЫЙ ПРОФИЛЬ | выпуск 8 | Магнитная пушка

Человек использует...

Человек использует...

Урок 18 сентября (6). Профиль Умскул

Урок 18 сентября (6). Профиль Умскул

1 2 3 4 5

Сегодня ищут: