Новое видео: Релятивистскиеэффекты

Смотреть новое видео

XIII съезд Ассоциации иностранных студентов России

XIII съезд Ассоциации иностранных студентов России

Курс ораторского мастерства с Александром Эпштейном

Курс ораторского мастерства с Александром Эпштейном

Лекция 5. Релятивистские эффекты. Релятивистская механика

Лекция 5. Релятивистские эффекты. Релятивистская механика



Что такое рельеф. Удивительная география

Что такое рельеф. Удивительная география

Специальная теория относительности | стандартные релятивистские эффекты | 2

Специальная теория относительности | стандартные релятивистские эффекты | 2

Рельефообразующие процессы

Рельефообразующие процессы

«Рельеф местности и способы его изображения»

«Рельеф местности и способы его изображения»

Теория вероятностей #13: виды ПРВ: гауссовая, равномерная, рэлея, экспоненциальная

Теория вероятностей #13: виды ПРВ: гауссовая, равномерная, рэлея, экспоненциальная

Запустил реф  Учусь пользоваться рефом

Запустил реф Учусь пользоваться рефом

Республиканский экологический слет

Республиканский экологический слет

Конкурс профессионального мастерства 2025. Итоговый ролик

Конкурс профессионального мастерства 2025. Итоговый ролик

Узкорулонная флексопечать: расходные материалы

Узкорулонная флексопечать: расходные материалы

Андриевский Максим

Андриевский Максим

Окружное совещание Министерства науки и высшего образования РФ

Окружное совещание Министерства науки и высшего образования РФ

Рельеф России. Равнины

Рельеф России. Равнины

"Россия- страна талантов". Номинация "Театральное творчество". Категории 5-7 лет и 8-10 лет.

Территориальная и социальная дифференциация языка | Введение в языкознание | Умскул

Территориальная и социальная дифференциация языка | Введение в языкознание | Умскул

Реферат на тему физическая культура

Реферат на тему физическая культура

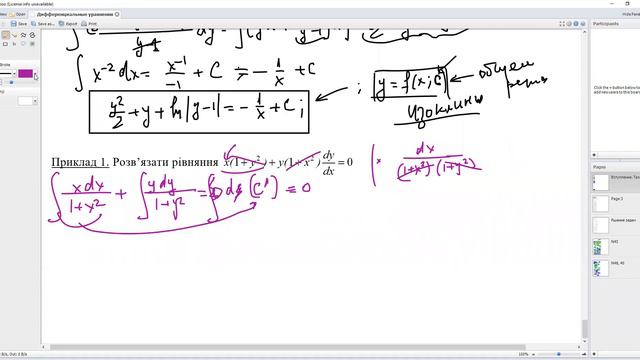
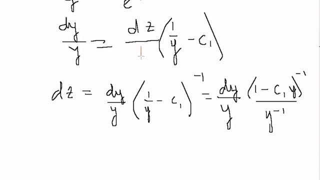
Дифференциальное уравнение в частных производных

Дифференциальное уравнение в частных производных

Вебинар «Применяемость и настройка извещателей «РЕЛЬЕФ»

Вебинар «Применяемость и настройка извещателей «РЕЛЬЕФ»

Как проводить ректификацию

Как проводить ректификацию

Дифференцирование показательной и логарифмической функций. Разбор примеров.

Дифференцирование показательной и логарифмической функций. Разбор примеров.

"Россия-страна талантов". Номинация "Театральное творчество". Категории 15-17 лет и 18-35 лет.

Введение в реферате

Введение в реферате

Цепное правило дифференцирования сложной функции

Цепное правило дифференцирования сложной функции

Вебинар «Применяемость и настройка извещателей «РЕЛЬЕФ»

Вебинар «Применяемость и настройка извещателей «РЕЛЬЕФ»

Вебинар

Вебинар "Применяемость и настройка извещателей РЕЛЬЕФ"

Религиоведение психологам. Вводная лекц. сент 2025

Религиоведение психологам. Вводная лекц. сент 2025

Рельсовые системы для подъема и перемещения «ОРТОРЕНТ ПРМ» в Санкт-Петербургском «ДИПИ №1»

Рельсовые системы для подъема и перемещения «ОРТОРЕНТ ПРМ» в Санкт-Петербургском «ДИПИ №1»

Создание непрерывной модели реабилитации детей с онкологическими заболеваниями

Создание непрерывной модели реабилитации детей с онкологическими заболеваниями

Рельеф и тектоническое строение территории России

Рельеф и тектоническое строение территории России

Логарифмическое дифференцирование степенно-показательной функции

Логарифмическое дифференцирование степенно-показательной функции

Кафедра Диетологии

Кафедра Диетологии "Симптомы пищевой аллергии"

Вебинар

Вебинар "Применяемость и настройка извещателей РЕЛЬЕФ"

Рефлексия образовательной практики  Интегральная и дифференциальная рефлексия 2021

Рефлексия образовательной практики Интегральная и дифференциальная рефлексия 2021

В ЕР ОБСУДИЛИ ЗАДАЧИ НАРАЩИВАНИЯ ОБЪЕМОВ ПРОМЫШЛЕННОГО ПРОИЗВОДСТВА

В ЕР ОБСУДИЛИ ЗАДАЧИ НАРАЩИВАНИЯ ОБЪЕМОВ ПРОМЫШЛЕННОГО ПРОИЗВОДСТВА

Экскурсия по Уфе | XIII съезд АИС России

Экскурсия по Уфе | XIII съезд АИС России

Открытие аудитории девелопера Forum

Открытие аудитории девелопера Forum

Введение в исламскую теологию2(5252)

Введение в исламскую теологию2(5252)

Похвала бедности

Похвала бедности

NVC 2025. Вертебрология

NVC 2025. Вертебрология

виды рельефов

виды рельефов

Основные формы рельефа

Основные формы рельефа

Простым языком про реферативное сотрудничество

Простым языком про реферативное сотрудничество

Речь и дикция, как развить свою речь?

Речь и дикция, как развить свою речь?

Практический курс АЯ1(5252)

Практический курс АЯ1(5252)

9-класс | Русский язык | Реферат по статье на лингвистическую тему

9-класс | Русский язык | Реферат по статье на лингвистическую тему

Электронные издания

Электронные издания

3.2.2. Рельеф и его композиционные свойства

3.2.2. Рельеф и его композиционные свойства

Решимость

Решимость

ректификация растворов.avi

ректификация растворов.avi

Введение в исламскую теологию1(5252)

Введение в исламскую теологию1(5252)

Рельеф?

Рельеф?

Как пользоваться рефом.нюансы работы на рефе.

Как пользоваться рефом.нюансы работы на рефе.

Лекция. Стереотипы, предрассудки и национальные правила коммуникации

Лекция. Стереотипы, предрассудки и национальные правила коммуникации

Введение в тележурналистику: техника речи и запись звука

Введение в тележурналистику: техника речи и запись звука

Самые активные, решительные, творческие

Самые активные, решительные, творческие

Внутрисосудистые методы исследования в российских рекомендациях, и их текущее применение

Внутрисосудистые методы исследования в российских рекомендациях, и их текущее применение

Выделение рельефа   Часть 3

Выделение рельефа Часть 3

Логарифмическое дифференцирование. Ответы

Логарифмическое дифференцирование. Ответы

Что такое рельеф

Что такое рельеф

Рефаимы

Рефаимы

NVC 2025. Реабилитация

NVC 2025. Реабилитация

Принципы работы с рельефом.
Лекция № 16

Принципы работы с рельефом. Лекция № 16

Занятие по развитию речи.  Тема:

Занятие по развитию речи. Тема:"Дифференциация звуков [Р] - [Л] "

РЕЛЯТИВИЗМ. Простое и короткое объяснение.

РЕЛЯТИВИЗМ. Простое и короткое объяснение.

4  Выделение рельефа

4 Выделение рельефа

4 - Движение релятивистской частицы в неинерциальной системе отсчёта

4 - Движение релятивистской частицы в неинерциальной системе отсчёта

3.2.1. Рельеф и его композиционные свойства

3.2.1. Рельеф и его композиционные свойства

Как работает реферативная практика

Как работает реферативная практика

Мастер класс для педагогов по использованию элементов методики Сергея Реутского

Мастер класс для педагогов по использованию элементов методики Сергея Реутского

Реферат Презентация

Реферат Презентация

Скульптура (1-е классы) - Композиция в рельефе по воображению

Скульптура (1-е классы) - Композиция в рельефе по воображению

Общее языкознание - 43: Территориальная дифференциация языка

Общее языкознание - 43: Территориальная дифференциация языка

2 Лекция  Дифференцирование суммы, произведения и частного

2 Лекция Дифференцирование суммы, произведения и частного

Рельеф нижней поверхности коры большого мозга

Рельеф нижней поверхности коры большого мозга

Логарифмическое дифференцирование

Логарифмическое дифференцирование

Видео-урок 66. Применение дифференциального исчисления к решению физических задач

Видео-урок 66. Применение дифференциального исчисления к решению физических задач

Рельеф России

Рельеф России

Рельеф

Рельеф

Реферальная программа

Реферальная программа

Логика. Длинный курс. Теория аргументации часть 3

Логика. Длинный курс. Теория аргументации часть 3

РЕФТИНСКИЙ. НОЯБРЬ . #Рефтинский #свердловскаяобласть

РЕФТИНСКИЙ. НОЯБРЬ . #Рефтинский #свердловскаяобласть

09 Взаимосвязь пространственной дифференциации человеческого потенциала и резилиентности территорий

09 Взаимосвязь пространственной дифференциации человеческого потенциала и резилиентности территорий

Реферальная программа

Реферальная программа

Экскурсия по теории обыкновенных дифференциальных уравнений

Экскурсия по теории обыкновенных дифференциальных уравнений

Оперативное совещание

Оперативное совещание

Квантовая неопределенность все самое интересное

Квантовая неопределенность все самое интересное

Применение степенных рядов к решению дифференциальных уравнений

Применение степенных рядов к решению дифференциальных уравнений

Дифференцирование сложной функции

Дифференцирование сложной функции

Рельеф России

Рельеф России

ПРИМЕР №2  ПРАКТИЧЕСКИЙ РАЗБОР ЗАКЛЮЧЕНИЯ РЭГ РЕОЭНЦЕФАЛОГРАФИИ ГОЛОВНОГО МОЗГА

ПРИМЕР №2 ПРАКТИЧЕСКИЙ РАЗБОР ЗАКЛЮЧЕНИЯ РЭГ РЕОЭНЦЕФАЛОГРАФИИ ГОЛОВНОГО МОЗГА

Тема 19. Жанры речи: реферат

Тема 19. Жанры речи: реферат

Организация станций на ледовом рельефе

Организация станций на ледовом рельефе

Дизайн в системе искусств

Дизайн в системе искусств

1 лекция. Дифференциальные уравнения (2к ЛФИ)

1 лекция. Дифференциальные уравнения (2к ЛФИ)

Преодоление сложного рельефа

Преодоление сложного рельефа

Анализ трафика с записи от 720p

Анализ трафика с записи от 720p

Реципрок: Безопасное препарирование корневого канала: реципрокное движение.

Реципрок: Безопасное препарирование корневого канала: реципрокное движение.

Операционное исчисление. Дифференцирование оригинала. Изображающее уравнение для дифференциального

Операционное исчисление. Дифференцирование оригинала. Изображающее уравнение для дифференциального

1 2 3 4 5

Сегодня ищут: