Новое видео: Смешанноечисловдробь

Смотреть новое видео

Смешанные числа. Сложение и вычитание смешанных чисел. Правильные и неправильные дроби.

Смешанные числа. Сложение и вычитание смешанных чисел. Правильные и неправильные дроби.

Правильная и неправильная дроби. Смешанное число. Обращение дробей в смешанное число и наоборот.

Правильная и неправильная дроби. Смешанное число. Обращение дробей в смешанное число и наоборот.

Сложение и вычитание обыкновенных дробей | 6 класс (демо)

Сложение и вычитание обыкновенных дробей | 6 класс (демо)



Умножение смешанных чисел

Умножение смешанных чисел

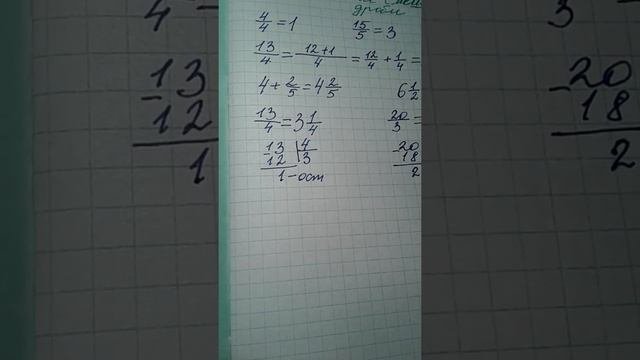
Представление смешанного числа в виде неправильной дроби

Представление смешанного числа в виде неправильной дроби

Перевод дробных и смешанных чисел

Перевод дробных и смешанных чисел

Учим Счёт До 40 🌈 Магнитные Цифры и Числовой Ряд

Учим Счёт До 40 🌈 Магнитные Цифры и Числовой Ряд

Перевод неправильной дроби в смешанное число

Перевод неправильной дроби в смешанное число

🎅💰 Богатый Дед Мороз Vs Бедный Дед Мороз 🎁 Кто подарит лучший подарок?! 😱✨ | Скетч от Мимилашка

🎅💰 Богатый Дед Мороз Vs Бедный Дед Мороз 🎁 Кто подарит лучший подарок?! 😱✨ | Скетч от Мимилашка

КУЛИНАРНЫЙ ЧЕЛЛЕДЖ С ДЕТСКОЙ ВСЕЛЕННОЙ Я ПРОТИВ БАБУШКИ / ПОТРЯСАЮЩИЕ КУХОННЫЕ ХИТРОСТИ / 2

КУЛИНАРНЫЙ ЧЕЛЛЕДЖ С ДЕТСКОЙ ВСЕЛЕННОЙ Я ПРОТИВ БАБУШКИ / ПОТРЯСАЮЩИЕ КУХОННЫЕ ХИТРОСТИ / 2

Борьба с дропперами: в Москве с начала года предъявили более 1500 исков на миллиард рублей

Борьба с дропперами: в Москве с начала года предъявили более 1500 исков на миллиард рублей

Сахарное драже с кислой пудрой КОСТЯШКА КИСЛЯШКА СКЕЛЕТОН. Клубника, кола, виноград. Набор 30шт

Сахарное драже с кислой пудрой КОСТЯШКА КИСЛЯШКА СКЕЛЕТОН. Клубника, кола, виноград. Набор 30шт

Задача матричного близнеца!

Задача матричного близнеца!

Смешанные числа. Записать смешанные числа в виде неправильной дроби

Смешанные числа. Записать смешанные числа в виде неправильной дроби

Сахарное драже с кислой пудрой КОСТЯШКА КИСЛЯШКА СКЕЛЕТОН. Клубника, кола, виноград. Набор 30шт

Сахарное драже с кислой пудрой КОСТЯШКА КИСЛЯШКА СКЕЛЕТОН. Клубника, кола, виноград. Набор 30шт

СМЕШАННЫЕ ДРОБИ

СМЕШАННЫЕ ДРОБИ

Сахарное драже с кислой пудрой КОСТЯШКА КИСЛЯШКА СКЕЛЕТОН. Клубника, кола, виноград. Набор 30шт

Сахарное драже с кислой пудрой КОСТЯШКА КИСЛЯШКА СКЕЛЕТОН. Клубника, кола, виноград. Набор 30шт

СашБаш—Время колокольчиков

СашБаш—Время колокольчиков

Примеры со смешанными дробями.

Примеры со смешанными дробями.

Перевод неправильной дроби в смешанное число

Перевод неправильной дроби в смешанное число

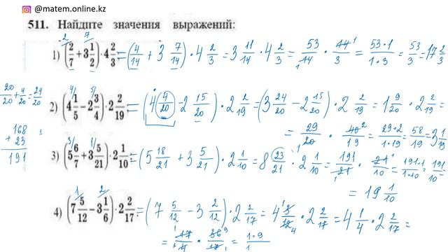
Умножение и деление смешанных чисел

Умножение и деление смешанных чисел

Запись смешанного числа в виде неправильной дроби

Запись смешанного числа в виде неправильной дроби

Представление целого числа в виде смешанной дроби

Представление целого числа в виде смешанной дроби

Дроби, смешанные числа

Дроби, смешанные числа

ИСТОРИЯ ЖИЗНИ ОРЕНА ✨ БОГАТЫЙ ОРЕН ЗАБЫЛ О БЕДНОМ ПИНКИ?! 💰💔 Анимационная игра Sprunki Incredibox

ИСТОРИЯ ЖИЗНИ ОРЕНА ✨ БОГАТЫЙ ОРЕН ЗАБЫЛ О БЕДНОМ ПИНКИ?! 💰💔 Анимационная игра Sprunki Incredibox

Сравнение смешанных дробей

Сравнение смешанных дробей

Понятие смешанной дроби

Понятие смешанной дроби

В России готовят новые меры для борьбы с дропперами

В России готовят новые меры для борьбы с дропперами

В России готовят новые меры для борьбы с дропперами

В России готовят новые меры для борьбы с дропперами

В России готовят новые меры для борьбы с дропперами

В России готовят новые меры для борьбы с дропперами

Смешанные дроби

Смешанные дроби

Преобразование неправильной дроби в смешанную

Преобразование неправильной дроби в смешанную

Все действия со смешанными числами😝
#дроби

Все действия со смешанными числами😝 #дроби

Понятие смешанной дроби

Понятие смешанной дроби

Неправильную дробь в смешанное число

Неправильную дробь в смешанное число

Смешанные числа как вычесть. Как вычесть дроби смешанные

Смешанные числа как вычесть. Как вычесть дроби смешанные

Как умножить смешанные числа/ смешанные дроби

Как умножить смешанные числа/ смешанные дроби

Преобразование смешанной дроби в неправильную

Преобразование смешанной дроби в неправильную

В России готовят новые меры для борьбы с дропперами

В России готовят новые меры для борьбы с дропперами

В России готовят новые меры для борьбы с дропперами

В России готовят новые меры для борьбы с дропперами

В России готовят новые меры для борьбы с дропперами

В России готовят новые меры для борьбы с дропперами

Урок 54. Обращение смешанного числа в неправильную дробь и неправильной дроби в смешанное число

Урок 54. Обращение смешанного числа в неправильную дробь и неправильной дроби в смешанное число

Как решать смешанные дроби

Как решать смешанные дроби

Обыкновенные дроби и смешанные числа.

Обыкновенные дроби и смешанные числа.

Правильные и неправильные дроби || Смешанные числа

Правильные и неправильные дроби || Смешанные числа

Сложение смешанных дробей

Сложение смешанных дробей

Преобразование неправильной  дроби в смешанное число

Преобразование неправильной дроби в смешанное число

Преобразование неправильной дроби в смешанное число

Преобразование неправильной дроби в смешанное число

Перевод смешанной дроби в неправильную

Перевод смешанной дроби в неправильную

Дроби правильные и неправильные. Смешанные числа

Дроби правильные и неправильные. Смешанные числа

Контрольная работа №8 | Математика 5 класс Никольский | Смешанные числа | Смешанные дроби

Контрольная работа №8 | Математика 5 класс Никольский | Смешанные числа | Смешанные дроби

Перевод из неправильной дроби в смешанное число

Перевод из неправильной дроби в смешанное число

Представление смешанного числа в виде неправильной дроби

Представление смешанного числа в виде неправильной дроби

Деление обыкновенных дробей и смешанных чисел

Деление обыкновенных дробей и смешанных чисел

Смешанные числа

Смешанные числа

1 Сложение смешанных дробей часть 1

1 Сложение смешанных дробей часть 1

Контрольная работа №8 на тему:

Контрольная работа №8 на тему: " смешанные дроби"

повторение 5 кл. Обыкновенные дроби, смешанные числа

повторение 5 кл. Обыкновенные дроби, смешанные числа

Превращение неправильной дроби в смешанное число и наоборот

Превращение неправильной дроби в смешанное число и наоборот

Преобразование неправильных дробей в смешанные числа и наоборот

Преобразование неправильных дробей в смешанные числа и наоборот

Сложение смешанных дробей

Сложение смешанных дробей

сравнение смешанных дробей

сравнение смешанных дробей

смешанные дроби 5 класс

смешанные дроби 5 класс

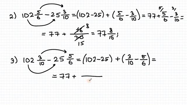
Вычитание смешанных дробей

Вычитание смешанных дробей

Доли, обыкновенные дроби и смешанные числа

Доли, обыкновенные дроби и смешанные числа

Умножение дробей и смешанных чисел

Умножение дробей и смешанных чисел

Представление смешанного числа в виде неправильной дроби

Представление смешанного числа в виде неправильной дроби

Умножение обыкновенных дробей и смешанных чисел

Умножение обыкновенных дробей и смешанных чисел

Правильные и неправильные дроби. Смешанные числа.

Правильные и неправильные дроби. Смешанные числа.

7. Вычитание из смешанной дроби

7. Вычитание из смешанной дроби

Сложение смешанных дробей

Сложение смешанных дробей

Перевод смешанных дробей в обычные и обычные в смешанные дроби

Перевод смешанных дробей в обычные и обычные в смешанные дроби

Превращаем неправильную дробь в смешанное число

Превращаем неправильную дробь в смешанное число

Перевод неправильной дроби в смешанное число.(Выделение целой части)

Перевод неправильной дроби в смешанное число.(Выделение целой части)

Правильные и неправильные дроби. Смешанные числа.

Правильные и неправильные дроби. Смешанные числа.

Представление смешанного числа в виде неправильной дроби

Представление смешанного числа в виде неправильной дроби

Контрольная работа №8 на тему:

Контрольная работа №8 на тему: "Смешанные дроби. Задачи на смешанные дроби" Вариант 2

Правильные и неправильные дроби. Смешанные числа.

Правильные и неправильные дроби. Смешанные числа.

Математика 5-6 класс, смешанные дроби (перевод из смешанной в неправильную, выделение целой части)

Математика 5-6 класс, смешанные дроби (перевод из смешанной в неправильную, выделение целой части)

ТРЕНИНГ: Действия со смешанными числами

ТРЕНИНГ: Действия со смешанными числами

вычитание смешанных дробей

вычитание смешанных дробей

Сравнение смешанных чисел

Сравнение смешанных чисел

Умножение смешанных чисел

Умножение смешанных чисел

как из неправильной дроби сделать смешанное число

как из неправильной дроби сделать смешанное число

27 Сложение смешанных дробей

27 Сложение смешанных дробей

Умножение смешанных чисел

Умножение смешанных чисел

Смешанные дроби  Выделение целой части

Смешанные дроби Выделение целой части

Обращение смешанного числа в неправильную дробь

Обращение смешанного числа в неправильную дробь

Сложное вычитание смешанных дробей.

Сложное вычитание смешанных дробей.

Перевод смешанной дроби в неправильную.

Перевод смешанной дроби в неправильную.

Как научиться считать смешанные дроби (ЧАСТЬ 2) // СЛОЖЕНИЕ И ВЫЧИТАНИЕ

Как научиться считать смешанные дроби (ЧАСТЬ 2) // СЛОЖЕНИЕ И ВЫЧИТАНИЕ

Вычитание смешанных дробей

Вычитание смешанных дробей

25 Характер Контрольные вопросы

25 Характер Контрольные вопросы

1510 дроби

1510 дроби

как сложить и отнять смешанные дроби

как сложить и отнять смешанные дроби

Что нужно знать ПЕРЕД ПРИЕМОМ у ПСИХИАТРА? Самые НЕОЧЕВИДНЫЕ ошибки на первом приеме!

Что нужно знать ПЕРЕД ПРИЕМОМ у ПСИХИАТРА? Самые НЕОЧЕВИДНЫЕ ошибки на первом приеме!

Преобразование смешанного числа в неправильную дробь

Преобразование смешанного числа в неправильную дробь

Смешанные числа и их преобразования

Смешанные числа и их преобразования

Сложение смешанных дробей

Сложение смешанных дробей

1 2 3 4 5

Сегодня ищут: