Новое видео: отличия ns2 от ns3

Смотреть новое видео

Обнаружил 10 отличий, где подделка Ns-3??? нужен совет и помощь.

Обнаружил 10 отличий, где подделка Ns-3??? нужен совет и помощь.

Прибор для измерения тока насыщения на STM32

Прибор для измерения тока насыщения на STM32

NS3 Vs NS2 | Projects Of NS3 Vs NS2 | Thesis Of NS3 Vs NS2 | Code In NS3 Vs NS2

NS3 Vs NS2 | Projects Of NS3 Vs NS2 | Thesis Of NS3 Vs NS2 | Code In NS3 Vs NS2



Честный обзор Honda E:NS1

Честный обзор Honda E:NS1

NS2 Vs NS3 | Projects Of NS2 Vs NS3  | Thesis Of NS2 Vs NS3 | Code Of NS2 Vs NS3

NS2 Vs NS3 | Projects Of NS2 Vs NS3 | Thesis Of NS2 Vs NS3 | Code Of NS2 Vs NS3

Аналоги NISSAN NS2 NS3 от российского бренда POLYMERIUM  Все ссылки в описании.

Аналоги NISSAN NS2 NS3 от российского бренда POLYMERIUM Все ссылки в описании.

NNS NS-2036S SW BAND TESTİ

NNS NS-2036S SW BAND TESTİ

Мукбанг мы не ТУНЕЯДЦЫ в отличие от НЕКОТОРЫХ! Пока есть на свете ЛЯМЫЕ мошенники найдутся! Обед

Мукбанг мы не ТУНЕЯДЦЫ в отличие от НЕКОТОРЫХ! Пока есть на свете ЛЯМЫЕ мошенники найдутся! Обед

NNS NS-2036S Solar Bluetooth Radyo Güneş Enerjili MP3 19 Cm

NNS NS-2036S Solar Bluetooth Radyo Güneş Enerjili MP3 19 Cm

НС3

НС3

Обзор СДС-4/6

Обзор СДС-4/6

Ns2 And Ns3 Comparison (vanet)

Ns2 And Ns3 Comparison (vanet)

Дополнительные устройства для NS2

Дополнительные устройства для NS2

НС2

НС2

Ns133gs

Ns133gs

Запуск двигателя с приложения Mercedes Glc

Запуск двигателя с приложения Mercedes Glc

Тест

Тест

NS2 краткое руководство

NS2 краткое руководство

☠️

☠️

5.4 OP и НРП гос -Razev_Nemos | 29 сервер

5.4 OP и НРП гос -Razev_Nemos | 29 сервер

Обзор  Honda E:NS2

Обзор Honda E:NS2

❓️Оригинальное масло Nissan Ns2 и Ns3 за 2700 рублей 🤔 Подделка ли? Делаем тесты! | Джатко-Сервис

❓️Оригинальное масло Nissan Ns2 и Ns3 за 2700 рублей 🤔 Подделка ли? Делаем тесты! | Джатко-Сервис

Пескоструйная камера Nordberg NS2

Пескоструйная камера Nordberg NS2

НС - \\ 2 \\

НС - \\ 2 \\

Шины Maxxis Arctictrekker NS3 отзыв владения китайской резины 235/75R15

Шины Maxxis Arctictrekker NS3 отзыв владения китайской резины 235/75R15

Ns139gs

Ns139gs

Обзор Honda NS1 [Бешеный полтиник]

Обзор Honda NS1 [Бешеный полтиник]

IMercedes-Benz GLC300 2021

IMercedes-Benz GLC300 2021

NS2 Actors

NS2 Actors

Громкоговоритель радио MP3 NNS NS-256U

Громкоговоритель радио MP3 NNS NS-256U

KXL 382

KXL 382

Врач рассказала, в чем отличие авитаминоза от гиповитаминоза

Врач рассказала, в чем отличие авитаминоза от гиповитаминоза

ホンダ  NS-1  ワンオーオー

ホンダ NS-1 ワンオーオー

Ремонт НС-12. Как обычно и нюансы.

Ремонт НС-12. Как обычно и нюансы.

Чем FSR 3 отличается от DLSS 3 и что такое интерполяция от AMD

Чем FSR 3 отличается от DLSS 3 и что такое интерполяция от AMD

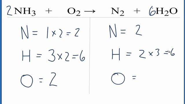
How To Balance NH3 + O2 = N2 + H2O (ammonia Plus Oxygen Gas)

How To Balance NH3 + O2 = N2 + H2O (ammonia Plus Oxygen Gas)

Ультиматум США сработал турецкого пашу отлучили от собственного и российского газа

Ультиматум США сработал турецкого пашу отлучили от собственного и российского газа

Ns212gs

Ns212gs

Nordberg NS3 наш новый пескоструй

Nordberg NS3 наш новый пескоструй

NS2 Gameplay

NS2 Gameplay

Ns131gs

Ns131gs

Ns131gs

Ns131gs

Ns 167

Ns 167

Как отличить истину от иллюзии?Что такое деньги?Сдача, боль в теле.Мастер Пранава

Как отличить истину от иллюзии?Что такое деньги?Сдача, боль в теле.Мастер Пранава

Астральные практики. Отличие Реальности от Нереальности - обсуждаем

Астральные практики. Отличие Реальности от Нереальности - обсуждаем

Lineage 2 .lu4. Black. Ночной Движ 3.

Lineage 2 .lu4. Black. Ночной Движ 3.

нс обзор

нс обзор

NS #10

NS #10

Ns130gs

Ns130gs

N03S

N03S

Пускатель асинхронного трехфазного двигателя NS2-25X Как подключить электродвигатель без контактора

Пускатель асинхронного трехфазного двигателя NS2-25X Как подключить электродвигатель без контактора

Ns1 Vs Ns2

Ns1 Vs Ns2

MPO решения NTSS PREMIUM и NTSS STANDART Обзор. Характеристики и область применения (14.10.22)

MPO решения NTSS PREMIUM и NTSS STANDART Обзор. Характеристики и область применения (14.10.22)

НЦ18-053-3 0,45

НЦ18-053-3 0,45

нс 35

нс 35

Nissan CVT NS2,  март 2023. Оригинал?

Nissan CVT NS2, март 2023. Оригинал?

Ns184gs

Ns184gs

обзор на колонку NNS   NS-S113S

обзор на колонку NNS NS-S113S

Чем Сознание Кришны отличается от других религий?

Чем Сознание Кришны отличается от других религий?

Honda E:ns1 - самый бюджетный электромобиль!

Honda E:ns1 - самый бюджетный электромобиль!

Н&С

Н&С

3с|2с

3с|2с

Ns185gs

Ns185gs

НС - \\ 1 \\

НС - \\ 1 \\

NS2 дополнительный контакт

NS2 дополнительный контакт

Н25

Н25

Святой святитель Иоанн Шанхайский и Сан-Францисский.Фильм Аркадия Мамонтова.

Святой святитель Иоанн Шанхайский и Сан-Францисский.Фильм Аркадия Мамонтова.

НЦС- 2020

НЦС- 2020

N.3

N.3

Обзор Honda E:NS1

Обзор Honda E:NS1

NS2-25 -Chint NS2-25 Motor Starter Accessory Installation

NS2-25 -Chint NS2-25 Motor Starter Accessory Installation

NSY-N7932F5 Не корректно работает с жёсткими дисками

NSY-N7932F5 Не корректно работает с жёсткими дисками

Nobsound NS-01G Pro

Nobsound NS-01G Pro

HS3-2

HS3-2

Ns166gs

Ns166gs

Glc X254 дистанционный запус двигателя.

Glc X254 дистанционный запус двигателя.

Проповедь: «А любовь ли это». Проповедует служитель Церкви «Спасение» Евгений Зуенок. 05.10.2025

Проповедь: «А любовь ли это». Проповедует служитель Церкви «Спасение» Евгений Зуенок. 05.10.2025

Maxxis Arctictrekker NS3

Maxxis Arctictrekker NS3

дм нрп госс

дм нрп госс

Ns146gs

Ns146gs

Отличная зимняя рыбалка!

Отличная зимняя рыбалка!

Ns186gs

Ns186gs

Клиентский эфир компании H2 ELEMENT от 23.09.25 Водородные генераторы и авто масла

Клиентский эфир компании H2 ELEMENT от 23.09.25 Водородные генераторы и авто масла

НЦ-132

НЦ-132

NC 22

NC 22

(Zyxel NSA 325v2 - часть 2) Конфигурация и приложения

(Zyxel NSA 325v2 - часть 2) Конфигурация и приложения

н/с29

н/с29

НС-12

НС-12

Ns198gs

Ns198gs

NC25-051605

NC25-051605

2025.10.05 НИР ОНГ Системный анализ соц. процессов

2025.10.05 НИР ОНГ Системный анализ соц. процессов

Н3

Н3

Отличие ума от разума, разбор функций и особенностей

Отличие ума от разума, разбор функций и особенностей

Но-Соль. Чистий ніс - здоровий ніс

Но-Соль. Чистий ніс - здоровий ніс

NS2 Автомат защиты двигателя

NS2 Автомат защиты двигателя

How To Use The Minipresso NS2

How To Use The Minipresso NS2

Honda E:NS2 - привезем из Китая

Honda E:NS2 - привезем из Китая

Ns186gs

Ns186gs

TEST NVS20

TEST NVS20

НС4

НС4

1 2 3 4 5

Сегодня ищут:

Отличия ns2 от ns3