Новое видео: Волныспицами

Смотреть новое видео

РЮШИ, ВОЛАНЫ СПИЦАМИ #каксвязать #рюшиспицами #воланыспицами #вяжемрюши #вяжемволан

РЮШИ, ВОЛАНЫ СПИЦАМИ #каксвязать #рюшиспицами #воланыспицами #вяжемрюши #вяжемволан

Тайна волны — Знаете ли вы, что? (12.10.2025)

Тайна волны — Знаете ли вы, что? (12.10.2025)

волны

волны



Волны

Волны

Как Сделать Голливудские Волны? Разные Виды Волны | Пошаговый Урок

Как Сделать Голливудские Волны? Разные Виды Волны | Пошаговый Урок

Плещут холодные волны

Плещут холодные волны

Такого от подруги не ожидала  (см описание)

Такого от подруги не ожидала (см описание)

Самые большие волны, которые когда-либо были зафиксированы

Самые большие волны, которые когда-либо были зафиксированы

Продольные и поперечные волны  Звуковые волны  Урок 120

Продольные и поперечные волны Звуковые волны Урок 120

Спасение приманки

Спасение приманки

Механические волны. Продольные и поперечные волны. Длина волны. Скорость распространения волны

Механические волны. Продольные и поперечные волны. Длина волны. Скорость распространения волны

К поиску семьи Усольцевых теперь допустят только волонтёров со спецподготовкой

К поиску семьи Усольцевых теперь допустят только волонтёров со спецподготовкой

Марсианские хроники...

Марсианские хроники...

Как Избежать Главной Ошибки Прозрачной Волны? +7 (961) 159-56-85  Запись на урок

Как Избежать Главной Ошибки Прозрачной Волны? +7 (961) 159-56-85 Запись на урок

радио волна 030

радио волна 030

Опасные волны

Опасные волны

Шепчутся волны !!!

Шепчутся волны !!!

Сейсмические волны. 7 класс.

Сейсмические волны. 7 класс.

Вакцинация грипп

Вакцинация грипп

Волны

Волны

Волны

Волны

Волны

Волны

волны

волны

волны

волны

#волны

#волны

Волны

Волны

Волны, волны...

Волны, волны...

Волны, волны...

Волны, волны...

Плещут холодные волны

Плещут холодные волны

Тропические волны

Тропические волны

Обесцвечивание волос в равномерный бежевый блонд. Тонирование обесцвеченных волос в оттенок 9.32

Обесцвечивание волос в равномерный бежевый блонд. Тонирование обесцвеченных волос в оттенок 9.32

Волны волнуются

Волны волнуются

Передача ВОЛНЫ

Передача ВОЛНЫ

Cпирально-волновой преобразователь (СВП)

Cпирально-волновой преобразователь (СВП)

Плещущиеся волны

Плещущиеся волны

Легкие волны

Легкие волны

Шепчутся волны !!!

Шепчутся волны !!!

ВОЛНЫ,КАТЯТСЯ ВОЛНЫ...

ВОЛНЫ,КАТЯТСЯ ВОЛНЫ...

Правила волны.

Правила волны.

Волны из частиц ?

Волны из частиц ?

Плещут холодные волны

Плещут холодные волны

Прическа волны или голливудские волны

Прическа волны или голливудские волны

Набегающие медленно волны в Пицунде VID_20220912_120717

Набегающие медленно волны в Пицунде VID_20220912_120717

Волны жизни

Волны жизни

Песня

Песня" Волны"

Видения (Успокаивающие волны)

Видения (Успокаивающие волны)

Плещут холодные волны

Плещут холодные волны

🤘 КОСТЮМ ГОРКА 4 ОРИГИНАЛ

🤘 КОСТЮМ ГОРКА 4 ОРИГИНАЛ

Волны спокойствия - Waves Of Tranquility

Волны спокойствия - Waves Of Tranquility

Волны с рябью

Волны с рябью

Спокойные волны

Спокойные волны

Техника волны на щипцы [Голивудские волны] - Олег Курников

Техника волны на щипцы [Голивудские волны] - Олег Курников

ДУХОВНАЯ АСТРОЛОГИЯ. МАРС. Часть 2.

ДУХОВНАЯ АСТРОЛОГИЯ. МАРС. Часть 2.

Формирование волны

Формирование волны

Tidal Waves - TheJosharmonics.
Приливные волны

Tidal Waves - TheJosharmonics. Приливные волны

БОЛЬШИЕ ВОЛНЫ

БОЛЬШИЕ ВОЛНЫ

Консонанс 1997

Консонанс 1997 "Волны волны"

#АНАПА.МОРЕТЕРАПИЯ.ШУМ ВОЛНЫ.ЛЕБЕДИ.

#АНАПА.МОРЕТЕРАПИЯ.ШУМ ВОЛНЫ.ЛЕБЕДИ.

Одной волной

Одной волной

НА ГРЕБНЕ  ВОЛНЫ

НА ГРЕБНЕ ВОЛНЫ

Положительные волны

Положительные волны

не волнуйтесь

не волнуйтесь

Плещут холодные волны

Плещут холодные волны

Моменты (Спящие волны)

Моменты (Спящие волны)

ЭКСПЕРЕМЕНТЫ ЭКСПЕРЕМЕНТИРУЮ. ТАСУЮ ПРИМАНКИ - СЛОВНО КАРТЫ, А РЫБЕ ВСЕ РАВНО. С ДЖИГОМ ПО КЛЯЗЬМЕ.

ЭКСПЕРЕМЕНТЫ ЭКСПЕРЕМЕНТИРУЮ. ТАСУЮ ПРИМАНКИ - СЛОВНО КАРТЫ, А РЫБЕ ВСЕ РАВНО. С ДЖИГОМ ПО КЛЯЗЬМЕ.

выступление

выступление "волны"

Волны на цепочке

Волны на цепочке

ДЛR#19. Перпендикулярные волны

ДЛR#19. Перпендикулярные волны

ВСТРЕЧНЫЕ ВОЛНЫ

ВСТРЕЧНЫЕ ВОЛНЫ

небольшие волны

небольшие волны

Музыка (Спящие волны)

Музыка (Спящие волны)

Длинные волны

Длинные волны

Мыс Шведова/пирс - волны

Мыс Шведова/пирс - волны

Волны на волге

Волны на волге

ВОЛНЫ НА ВОЛГЕ

ВОЛНЫ НА ВОЛГЕ

ВОЛНЫ

ВОЛНЫ

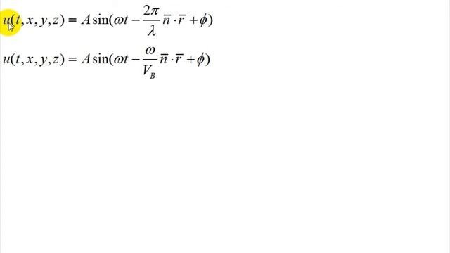
Колебания и волны | волны | волны в средах с более чем одним измерением | 5

Колебания и волны | волны | волны в средах с более чем одним измерением | 5

Бомбические волны

Бомбические волны

SurfPartySpb/Искусственная волна Спб 28.11.17

SurfPartySpb/Искусственная волна Спб 28.11.17

"Плещут холодные волны"

Колебания и волны | волны | волны в средах с более чем одним измерением | 2 | волновая поверхность

Колебания и волны | волны | волны в средах с более чем одним измерением | 2 | волновая поверхность

Плещут холодные волны-Splash Cold Waves

Плещут холодные волны-Splash Cold Waves

Продольные и поперечные волны  Звуковые волны

Продольные и поперечные волны Звуковые волны

АЛЕКСЕЙ БОЛЬШОЙ - ВОЛНЫ, ВОЛНЫ, ВОЛНЫ! (LYRIC VIDEO)

АЛЕКСЕЙ БОЛЬШОЙ - ВОЛНЫ, ВОЛНЫ, ВОЛНЫ! (LYRIC VIDEO)

"Поющие волны"

Море, волны.Шепси 2021г.

Море, волны.Шепси 2021г.

Ненормальные волны

Ненормальные волны

СТРАХ ЗА РЕБЁНКА: Простой приём, который поможет ИЗБАВИТЬСЯ от тревожности | Александр Волынский

СТРАХ ЗА РЕБЁНКА: Простой приём, который поможет ИЗБАВИТЬСЯ от тревожности | Александр Волынский

Могучая медитация, запускающая процесс глубинного преображения. Обретение целомудрия

Могучая медитация, запускающая процесс глубинного преображения. Обретение целомудрия

Обучение волонтёров Церемонии возложения венков и цветов на Пискарёвском Мемориальном Кладбище

Обучение волонтёров Церемонии возложения венков и цветов на Пискарёвском Мемориальном Кладбище

Как мы разрушаем волос быстрее, чем пытаемся восстановить

Как мы разрушаем волос быстрее, чем пытаемся восстановить

Этнический музей родовой вотчины манси (вогулов) 2-й Лялинской волоски ― Юрты Лопаевых

Этнический музей родовой вотчины манси (вогулов) 2-й Лялинской волоски ― Юрты Лопаевых

Освящение воинских стягов в Софийском соборе Вологды

Освящение воинских стягов в Софийском соборе Вологды

Медитация для крепкого сна / Бабушкин целебный чай / Аудиокниги

Медитация для крепкого сна / Бабушкин целебный чай / Аудиокниги

1 2 3 4 5

Сегодня ищут: